NATIONAL CENTER FOR EDUCATION STATISTICS
NATIONAL ASSESSMENT OF EDUCATIONAL PROGRESS
National Assessment of Educational Progress (NAEP)
2022 Materials Update #1
Appendix G
NAEP 2013 Sample Design
OMB# 1850-0928 v.23
June 2021
No changes since November 2020
(1850-0928 v.21)
The 2013 Sample Design documentation is the most current version available to the public. At this time, there is not a timeline for when the details for later assessment years will be publicly available.
NAEP Technical Documentation Website
NAEP Technical Documentation NAEP 2013 Sample Design
The sample design for NAEP 2013 included samples for various operational, special study, and pilot test assessments.
Representative samples were drawn for the following operational assessments:
national
assessments in mathematics
2013 State Assessment Sample Design
2013
National Assessment Sample
Design
and reading in public and private schools at grades 4, 8, and 12;
state-by-state
and Trial Urban District Assessments (TUDA) assessments in
mathematics and reading in public schools at grades 4 and 8;
and
state-by-state
assessments in mathematics and reading in public schools at grade 12
in 13 states.
Representative samples were drawn for the following special studies and pilot test assessments:
pilot
test of the computer-based assessment of Technical and Engineering
Literacy (TEL) in public schools at grade 8;
a
special mathematics assessment in public and private schools in
Puerto Rico at grades 4 and 8;
Accessible
Booklet Study in reading in public and private schools at grades 4
and 8;
study
to examine the link between Lexile and NAEP reading in public and
private schools at grade 8;
study
to obtain NAEP grade 12 mathematics scores for students in the
National High School Longitudinal Study (HSLS) in public schools;
study
to examine the relationship between NAEP grade 8 and grade 12
mathematics scales, conducted in public schools at grades 9, 10, and
11 in two states that conducted PISA assessments in 2012; and
pilot
tests in reading and mathematics in public and private schools at
grades 4 and 8.
The samples for the operational assessments were organized into four distinct components and sampled separately. The samples for the special studies and pilot tests were integrated into these various components:
mathematics
and reading assessments in public schools at grades 4 and 8;
mathematics and reading assessments in public schools at grade 12;
mathematics and reading assessments in private schools at grades 4,
8, and 12; and
computer-based
TEL pilot assessment in public schools at grade
8.
The national assessments were designed to achieve nationally representative samples of public and private school students in the fourth, eighth, and twelfth grades. Their
target populations included all students in public, private, Bureau of Indian Education (BIE), and Department of Defense Education Activity (DoDEA) schools, who were enrolled in grades 4, 8, and 12 at the time of assessment.
For the fourth- and eighth-grade mathematics and reading assessments in public schools, the NAEP state student samples and assessments constituted the NAEP national student samples and assessments. Nationally representative samples were drawn for the remaining populations of private school students, DoDEA students, and BIE students in the fourth and eighth grades.
The TUDA samples formed part of the corresponding state public school samples, and the state samples formed the public school grades 4 and 8 part of the national sample.
At grade 12, the national samples for mathematics and reading consisted of 13 state samples of public schools and additional samples of public, private, BIE, and DoDEA schools to represent the balance of the nation.
All
samples except the TEL pilot sample were based on a two-stage sample
design: selection of schools within strata; and
selection
of students within schools.
The
computer-based TEL pilot sample was based on a three-stage sample
design: selection of primary sampling units (PSUs);
selection
of schools within strata; and selection of students within schools.
In the three-stage design for the TEL pilot sample, schools were stratified and selected within the sampled PSUs. The sample of schools was selected with probability proportional to a measure of size based on the estimated grade 8 student enrollment.
The state assessments were designed to achieve representative samples of students in the respective grade. At grades 4 and 8, the target populations included all students in each participating jurisdiction, which included states, District of Columbia, DoDEA, and school districts chosen for the TUDA assessments. At grade 12, the target population consisted of all students in each of the 13 participating states. Each sample was designed to produce aggregate estimates with reliable precision for all the participating jurisdictions, as well as estimates for various student subpopulations of interest.
In the PISA linking study, samples of students in grades 9 through 11 were selected from the schools selected for the grade 12 public school samples in Florida and Massachusetts.
The figure below illustrates the various sample types and subjects.
Components of the NAEP samples, by assessment subject, grade, and school type: 2013
SOURCE: U.S. Department of Education, Institute of Education Sciences, National Center for Education Statistics, National Assessment of Educational Progress (NAEP), 2013 Assessments.
NAEP Technical Documentation Website
NAEP Technical Documentation Sample Design for the 2013 State Assessment
Each assessment cycle, a sample of students in designated grades within both public and private schools throughout the United States is selected for assessment. In state assessment years, of which 2013 is an example, the samples of public schools and their students in each state are large enough to support state-level estimates.
The NAEP 2013 state assessments covered fourth- and eighth-grade
students in public schools for operational mathematics and reading.
A representative sample of students was drawn in each participating
jurisdiction, including the 50 states, the District of Columbia,
Puerto Rico, Bureau of Indian Education (BIE) schools, Department of
Defense Education Activity (DoDEA) schools, and in school districts
chosen for the Trial Urban District Assessment (TUDA) study. The
state operational mathematics and reading assessments also
Target Population Sampling Frame Stratification of Schools School Sample Selection Substitute Schools Ineligible Schools Student Sample Selection
School
and Student Participation
covered twelfth-grade students in public schools in 13 states for each subject. A representative sample of public school students was drawn in each participating jurisdiction.
All jurisdictions, including the TUDA districts, were included in the mathematics and reading assessments at grades 4 and 8, with the exception of Puerto Rico, where a special mathematics assessment was conducted instead of the operational mathematics and reading assessments. Also, BIE was not designed as a reportable jurisdiction for the 2013 state assessments, but a nationally representative sample of students in BIE schools was selected.
Generally for the state assessments, each non-TUDA jurisdiction sample is designed to produce aggregate estimates with approximately equal precision for all the participating jurisdictions, as well as estimates for various subpopulations of interest. The target sample size for these jurisdictions is 3,150 for each operational subject. In 2013, the samples for operational mathematics and reading at grades 4 and 8 were designed in this fashion. At grades 4 and 8, the overall target student sample size for the operational samples in each non-TUDA jurisdiction was 6,600—3,150 each for mathematics and reading and 300 for pilot tests. For the mathematics assessment in Puerto Rico, the target sample size was 5,800 at grades 4 and 8. At grade 12, the target sample sizes varied by jurisdiction. Details can be found in the school sample selection.
The target population for the NAEP 2013 state assessment included students in public schools who were enrolled in grades 4, 8, and 12 at the time of assessment. The sampling frame included public schools having the relevant grade in each jurisdiction. The samples were selected based on a two-stage sample design:
selection
of schools within participating jurisdictions; and
selection
of students within schools.
From the stratified frame of public schools for each grade within each jurisdiction, a systematic random sample of grade-eligible schools was drawn with probability proportional to a measure of size based on the estimated grade-specific enrollment of the school.
For the TUDA study, schools were sampled from the 21 participating TUDA districts at the same time schools were selected for the jurisdiction samples. The TUDA districts are listed below:
Albuquerque
Public Schools, New Mexico; Atlanta Public Schools, Georgia;
Austin
Independent School District, Texas; Baltimore City Public Schools,
Maryland; Boston Public Schools, Massachusetts; Charlotte-Mecklenburg
Schools, North Carolina; Chicago Public Schools,
Illinois;
Cleveland
Metropolitan School District, Ohio; Dallas Independent School
District, Texas; Detroit Public Schools, Michigan;
District
of Columbia Public Schools, District of Columbia; Fresno Unified
School District, California;
Hillsborough
County Public Schools, Florida; Houston Independent School District,
Texas;
Jefferson
County Public Schools (Louisville), Kentucky; Los Angeles Unified
School District, California;
Miami-Dade
County Public Schools, Florida; Milwaukee Public Schools, Wisconsin;
New
York City Department of Education, New York; School District of
Philadelphia, Pennsylvania; and San Diego Unified School District,
California.
These subsamples affected the design of the state samples in those states where TUDA districts were oversampled. In each of these states, there were distinct sampling rates for each TUDA district and for the balance of the state (i.e., the rest of the state not in a TUDA district).
Each selected school provided a list of eligible enrolled students from which a systematic sample of students was drawn. In fourth- and eighth-grade schools, 63 students, if possible, were selected from each school: 30 for mathematics, 30 for reading, and 3 for the pilot tests. In twelfth-grade schools, 60 students, if possible, were selected from each school: 30 for mathematics and 30 for reading. Details can be found in the student sample selection.
The target population for the 2013 state assessment included all students in public schools in the United States who were enrolled in fourth or eighth grade and, for 13 states, students enrolled in twelfth grade. In addition, students enrolled in fourth and eighth grades attending Bureau of Indian Education (BIE) schools, Department of Defense Education Activity (DoDEA) schools, and public schools in Puerto Rico were included. BIE was not designed as a reportable jurisdiction for the 2013 state assessments, but a nationally representative sample of students in BIE schools was selected.
Documentation Sampling Frame for the 2013 State Assessment
Drawing the school samples for the 2013 assessments required a comprehensive list of public schools in each jurisdiction containing information for stratification purposes. As in previous NAEP assessments,
the
Common Core of Data (CCD) file developed by NCES was used to
construct the sampling frame.
The CCD file corresponding to the 2009-2010 school year
provided the frame for all regular and state-operated public, Bureau
of Indian Education (BIE), Department of Defense Education Activity
(DoDEA) schools, and schools in
Puerto Rico.
Fourth- and Eighth-Grade Schools and Enrollment in Public School Sampling Frame
Twelfth-Grade
Schools and Enrollment Public School Sampling Frame in 13
States
New-School Sampling Frame
The sampling frame excluded ungraded schools, vocational schools with no enrollment, special education-only schools, prison and hospital schools, virtual or online schools, home- school entities, and juvenile correctional institutions.
For quality control purposes, school and student counts from the NAEP 2013 sampling frame were compared to school and student counts from the previous frame (2012). No revisions to the frame were needed as a result of this check.
NAEP Technical Documentation Website
NAEP Technical Documentation Fourth- and Eighth-Grade Schools and Enrollment in the 2013 Public School Sampling Frame
The following table displays, by jurisdiction, the number of fourth- and eighth-grade public schools and their estimated enrollment, as contained in the Common Core of Data (CCD) sampling frame. Grade-specific enrollment was estimated for each school as the average grade enrollment for grades 1 through 8.
Number of schools and enrollment in public school sampling frame, state assessment, by grade and jurisdiction: 2013
Jurisdiction |
Grade 4 |
Grade 8 |
||
Schools |
Enrollment |
Schools |
Enrollment |
|
Total |
52,652 |
3,755,038 |
28,515 |
3,664,355 |
Alabama |
748 |
59,269 |
484 |
57,283 |
Alaska |
365 |
9,827 |
285 |
9,701 |
Arizona |
1,179 |
83,555 |
769 |
81,283 |
Arkansas |
496 |
37,017 |
315 |
35,831 |
California–Fresno |
70 |
5,823 |
26 |
5,457 |
California–Los Angeles |
516 |
51,516 |
162 |
46,818 |
California–San Diego |
138 |
10,040 |
63 |
9,691 |
California–Balance |
5,122 |
396,594 |
2,567 |
394,159 |
Colorado |
1,013 |
63,266 |
520 |
59,357 |
Connecticut |
604 |
41,489 |
306 |
42,667 |
Delaware |
115 |
9,647 |
60 |
9,398 |
Florida–Hillsborough County |
164 |
15,161 |
80 |
15,020 |
Florida–Miami |
274 |
26,903 |
160 |
25,573 |
Florida–Balance |
1,659 |
160,638 |
910 |
156,199 |
Georgia–Atlanta |
61 |
4,264 |
26 |
3,369 |
Georgia–Balance |
1,181 |
125,981 |
522 |
120,938 |
Hawaii |
202 |
14,155 |
80 |
12,843 |
Idaho |
368 |
21,351 |
200 |
20,466 |
Illinois–Chicago |
488 |
29,942 |
470 |
29,469 |
Illinois–Balance |
1,855 |
124,553 |
1,133 |
124,839 |
Indiana |
1,101 |
80,245 |
485 |
79,856 |
Iowa |
674 |
35,421 |
387 |
34,991 |
Kansas |
729 |
35,907 |
412 |
34,645 |
Kentucky–Jefferson County |
96 |
7,617 |
42 |
7,030 |
Kentucky–Balance |
635 |
44,068 |
349 |
42,373 |
Louisiana |
789 |
55,300 |
531 |
50,584 |
Maine |
341 |
13,945 |
211 |
14,205 |
Maryland–Baltimore |
124 |
6,292 |
93 |
5,501 |
Maryland–Balance |
763 |
55,578 |
263 |
55,486 |
Massachusetts–Boston |
79 |
4,106 |
38 |
3,808 |
Massachusetts–Balance |
894 |
67,192 |
444 |
68,154 |
Michigan–Detroit |
121 |
7,584 |
74 |
5,001 |
|
|
|
|
|
Michigan–Balance |
1,735 |
110,658 |
968 |
115,376 |
Minnesota |
952 |
61,086 |
695 |
61,246 |
Mississippi |
436 |
38,958 |
290 |
36,999 |
Missouri |
1,170 |
68,189 |
727 |
68,007 |
Montana |
400 |
10,863 |
289 |
10,912 |
Nebraska |
568 |
22,085 |
339 |
21,503 |
Nevada |
379 |
33,851 |
158 |
33,028 |
New Hampshire |
265 |
14,495 |
137 |
15,191 |
New Jersey |
1,366 |
100,453 |
741 |
99,535 |
New Mexico–Albuquerque |
99 |
7,594 |
42 |
6,903 |
New Mexico–Balance |
332 |
18,137 |
161 |
17,280 |
New York–New York City |
709 |
63,731 |
458 |
61,278 |
New York–Balance |
1,659 |
128,564 |
877 |
131,957 |
North Carolina–Charlotte |
105 |
11,245 |
38 |
9,852 |
North Carolina–Balance |
1,309 |
106,884 |
656 |
101,491 |
North Dakota |
260 |
6,995 |
188 |
7,330 |
Ohio–Cleveland |
83 |
3,573 |
81 |
3,550 |
Ohio–Balance |
1,794 |
129,785 |
1,009 |
129,136 |
Oklahoma |
895 |
49,300 |
593 |
46,433 |
Oregon |
767 |
42,827 |
414 |
42,949 |
Pennsylvania–Philadelphia |
177 |
12,098 |
142 |
10,970 |
Pennsylvania–Balance |
1,565 |
117,452 |
772 |
121,829 |
Rhode Island |
170 |
10,437 |
57 |
10,842 |
South Carolina |
618 |
55,228 |
298 |
52,433 |
South Dakota |
328 |
9,380 |
254 |
9,306 |
Tennessee |
998 |
75,934 |
565 |
71,570 |
Texas–Austin |
80 |
6,862 |
24 |
5,360 |
Texas–Dallas |
147 |
12,932 |
38 |
10,113 |
Texas–Houston |
179 |
16,525 |
64 |
12,738 |
Texas–Balance |
3,871 |
337,085 |
2,039 |
320,696 |
Utah |
582 |
46,508 |
232 |
42,593 |
Vermont |
224 |
6,419 |
122 |
6,364 |
Virginia |
1,137 |
93,610 |
388 |
92,179 |
Washington |
1,214 |
77,826 |
606 |
77,099 |
West Virginia |
425 |
20,875 |
202 |
20,637 |
Wisconsin–Milwaukee |
115 |
5,807 |
89 |
5,371 |
Wisconsin–Balance |
996 |
55,190 |
544 |
55,692 |
Wyoming |
188 |
6,849 |
93 |
6,568 |
Other jurisdictions |
||||
Bureau of Indian Education (BIE) |
135 |
3,246 |
109 |
2,785 |
Department of Defense Education Activity (DoDEA) |
108 |
7,507 |
63 |
5,589 |
District of Columbia (TUDA) |
87 |
3,369 |
37 |
2,357 |
District of Columbia–Balance |
44 |
1,538 |
42 |
1,950 |
Puerto Rico |
1,017 |
38,842 |
407 |
37,363 |
SOURCE: U.S. Department of Education, Institute of Education Sciences, National Center for Education Statistics, National Assessment of Educational Progress (NAEP), 2013 State Assessment. |
||||
NAEP Technical Documentation Website
NAEP Technical Documentation Twelfth-Grade Schools and Enrollment in the 2013 Public School Sampling Frame in 13 States
The following table presents the number of schools and estimated enrollment for the twelfth-grade CCD frame for the 13 state assessments.
Number of schools and enrollment in public school sampling frame, grade 12 state assessment, by jurisdiction: 2013
Jurisdiction |
Schools |
Enrollment |
Total 1 |
5,710 |
859,758 |
Arkansas |
297 |
32,035 |
Connecticut |
245 |
41,607 |
Florida |
965 |
176,821 |
Idaho |
210 |
19,057 |
Illinois |
954 |
149,998 |
Iowa |
408 |
37,793 |
Massachusetts |
371 |
67,923 |
Michigan |
1,032 |
126,382 |
New Hampshire |
89 |
15,749 |
New Jersey |
432 |
97,690 |
South Dakota |
191 |
8,796 |
Tennessee |
369 |
67,111 |
West Virginia |
147 |
18,796 |
1 The aggregate of the 13 states participating in the state assessments at grade 12. SOURCE: U.S. Department of Education, Institute of Education Sciences, National Center for Education Statistics, National Assessment of Educational Progress (NAEP), 2013 State Assessment. |
||
NAEP Technical Documentation Website
NAEP Technical Documentation New-School Sampling Frame for the 2013 State Assessment
The Common Core of Data (CCD) file used for the frame corresponds to the 2009-2010 school year, whereas the assessment year is the 2012-2013 school year. During this 3-year period, some
schools closed, some changed structure (one school becoming two schools, for example), and others came into existence.
As was done in previous years, to achieve as close to full coverage as possible, the school frame was supplemented by a sample of new schools obtained from a sample of districts. Each sampled district was sent a list of the CCD schools and asked to add in any new schools or old schools that had become newly eligible for grades 4, 8, and 12.
Since asking every school district to list new and newly-eligible schools would have generated too much of a burden, a sample of districts was contacted to obtain a list of new schools. To represent the unsampled districts in the full sample of schools, weights for schools included in the new-school sample were adjusted to reflect the district selection probability.
The goal was to allow every new school a chance of selection, thereby fully covering the target population of schools in operation during the 2012-2013 school year. The first step in this process was the development of a new-school frame through the construction of a district-level file from the CCD school-level file. To develop the frame, the district-level file was divided into two files: one
for small districts and a second for medium and large districts.
Small districts contained no more than three schools on the frame in total, with no more than one school at each targeted grade (4, 8, and 12). New schools in small districts were identified during school recruitment and added to the sample if the old school was sampled. From a sampling perspective, the new school was viewed as an “annex” to the sampled school that had a well-defined probability of selection equal to that of the old school. The “frame” in this case was, in fact, the original frame; when the old school was sampled in a small district, the new school was automatically sampled as well.
The remaining districts were defined as medium and large districts. In these districts, a frame of new schools was developed based on information provided by the district. To limit the required effort, the new-school frame was created through developing information on a sample of medium and large public school districts in each jurisdiction.
Prior to district sampling, specific districts were in sample with certainty. They included the following districts:
districts
in jurisdictions where all schools were selected for sample at any of
grades 4, 8 or 12; state-operated districts;
districts
in states with fewer than 10 districts;
charter-only
districts (that is, districts containing no schools other than
charter schools); and
TUDA
districts.
The remaining districts in each jurisdiction (except the certainty jurisdictions) were separated into two strata of large- and medium-size districts. These strata were defined by computing an aggregate percentage of enrollment for each district within the state (removing districts in the certainty strata defined above) and sorting in descending order by percentage of jurisdiction enrollment represented by the district. All districts up to and including the first district at or above the 80th cumulative percentage were defined as large districts. The remaining districts were defined as medium districts.
An example is given below. A state's districts are ordered by percentage enrollment. The first six become large districts and the last six become medium districts.
Large and medium districts example, state assessment, by enrollment, stratum, and district: 2013
District |
Percentage enrollment |
Cumulative percentage enrollment |
Stratum |
1 |
20 |
20 |
L |
2 |
20 |
40 |
L |
3 |
15 |
55 |
L |
4 |
10 |
65 |
L |
5 |
10 |
75 |
L |
6 |
10 |
85 |
L |
7 |
5 |
90 |
M |
8 |
2 |
92 |
M |
9 |
2 |
94 |
M |
10 |
2 |
96 |
M |
11 |
2 |
98 |
M |
12 |
2 |
100 |
M |
SOURCE: U.S. Department of Education, Institute of Education Sciences, National Center for Education Statistics, National Assessment of Educational Progress (NAEP), 2013 State Assessment. |
|||
The target sample size for each jurisdiction was 10 districts. Where possible, eight large and two medium districts were selected. However, in the example above, since there are only six large districts, all of the large districts and four of the medium districts were selected for the new-school inquiry.
If sampling was needed in the medium stratum, the medium districts were selected with equal probability. If sampling was needed in the large stratum, the large districts were sampled with probability proportional to enrollment. These probabilities were retained and used in later stages of sampling and weighting, as the district probability then represented the number of other districts that were not sampled to be surveyed for new schools.
The selected districts in each jurisdiction were then sent a listing of all their schools that appeared on the 2009-2010 CCD file and were asked to provide information about the new schools not included in the file and grade span changes of existing schools. These listings provided by the selected districts were used as sampling frames for selection of new public schools and updates of existing schools.
This process was conducted through the NAEP State Coordinator in each jurisdiction. The coordinators were sent the information for all sampled districts in their respective states and were responsible for returning the completed updates.
The eligibility of a school was determined based on the grade span. A school also was classified as “newly-eligible” if a change of grade span had occurred such that the school status changed from ineligible to eligible in a particular grade.
The
purpose of school stratification is to increase the efficiency and
ensure the representativeness of the school samples in terms of
important school-level characteristics, such as geography (e.g.,
states and TUDA districts), urbanicity, and race/ethnicity
classification. NAEP school sampling utilizes two types of
stratification: explicit and implicit.
Stratification Variables
Explicit stratification partitions the sampling frame into mutually exclusive groupings called strata. The systematic samples selected from these strata are independent, meaning that each is selected with its own unique random start. The explicit school strata for the 2013 NAEP state assessments were usually states. If a state contained Trial Urban District Assessment (TUDA) districts, the explicit strata were each individual TUDA district and the balance of the state. In 2013, there were 21 participating TUDA districts in the NAEP state assessment program. They are listed below:
Albuquerque
Public Schools, New Mexico; Atlanta Public Schools, Georgia;
Austin
Independent School District, Texas; Baltimore City Public Schools,
Maryland; Boston Public Schools, Massachusetts;
Charlotte-Mecklenburg Schools, North Carolina; Chicago Public
Schools, Illinois;
Cleveland
Metropolitan School District, Ohio; Dallas Independent School
District, Texas; Detroit Public Schools, Michigan;
District
of Columbia Public Schools, District of Columbia; Fresno Unified
School District, California;
Hillsborough
County Public Schools, Florida; Houston Independent School District,
Texas;
Jefferson
County Public Schools (Louisville), Kentucky; Los Angeles Unified
School District, California;
Miami-Dade
County Public Schools, Florida; Milwaukee Public Schools, Wisconsin;
New
York City Department of Education, New York; School District of
Philadelphia, Pennsylvania; and San Diego Unified School District,
California.
Implicit stratification involves sorting the sampling frame, as opposed to grouping the frame. For NAEP, schools are sorted by key school characteristics within explicit strata and sampled systematically using this ordering. This type of stratification ensures the representativeness of the school samples with respect to the key school characteristics. The implicit school stratification variables for the 2013 state assessments included urbanicity, race/ethnicity classification, and achievement score/median income. Further details about these variables can be found here.
The implicit stratification of public schools for the NAEP 2013 state assessments involved three dimensions:
urbanicity
classification (urban-centric locale); race/ethnicity
classification; and
achievement
level or median income.
The urbanicity stratum is the top-level implicit stratification variable and is assigned within each explicit stratum. It is derived from the NCES urban-centric locale variable and classifies schools based on location (city, suburb, town, rural) and proximity to urbanized areas.
It has 12 possible values.
Stratification by Urbanicity Classification
Stratification
by Race/ethnicity Classification
Stratification by Achievement Data and Median Income
Missing Stratification Variables
The race/ethnicity stratum classifies schools by the relative magnitude of enrollment of non- Hispanic White, non-Hispanic Black, Hispanic, Asian, American Indian/Alaska Native, Hawaiian/Pacific Islander, and students classified as two or more races represented in schools. The source of the race/ethnicity data is the Common Core of Data (CCD). The race/ethnicity stratum is the second-level variable in the stratification hierarchy and is nested within the urbanicity stratum.
The last stratification dimension is a classification of schools based on either achievement data or median household income. For most states, it is based on achievement data. However, not all states provide achievement data. In these cases, median household income is used instead.
Median income comes from the 2000 Census and it corresponds to the zip code area where the school is located.
Missing values for stratification variables were imputed.
The implicit stratification in this three-fold hierarchical procedure was achieved via a "serpentine sort" within a given explicit stratum. This sort was accomplished by alternating between ascending and descending sort order on each variable successively through the sort hierarchy.
Within this sorted list the schools were arranged in serpentine order by achievement data (or median household income) within each cell determined by the two higher stratification variables (urbanicity and race/ethnicity classifications), with ascending order for achievement data/median household income used in every other cell, and descending order for achievement data/median household income used in the remaining cells, giving an ascending-descending-ascending- descending pattern. Schools in these urbanicity and race/ethnicity classification cells were also sorted in serpentine order. Within each urbanicity and race/ethnicity classification cells, schools were sorted in ascending order within one urbanicity stratum, by descending order within the next urbanicity stratum, and so on. The following table shows an oversimplified example to illustrate the ascending-descending-ascending-descending pattern of the serpentine sort.
Stratification variables sorted by serpentine sort: 2013
TUDA |
Urbanicity |
Race/ethnicity level |
Achievement score |
Yes |
Large City |
High minority |
20 |
22 |
|||
27 |
|||
30 |
|||
Low minority |
29 |
||
26 |
|||
20 |
|||
18 |
|||
Mid-size City |
Low minority |
15 |
|
25 |
|||
27 |
|||
31 |
|||
High minority |
35 |
||
32 |
|||
30 |
|||
28 |
|||
No |
Mid-size City |
High minority |
20 |
22 |
|||
27 |
|||
30 |
|||
Low minority |
29 |
||
26 |
|||
20 |
|||
18 |
|||
Large City |
Low minority |
15 |
|
25 |
|||
27 |
|||
31 |
|||
High minority |
35 |
||
32 |
|||
30 |
|||
28 |
|||
SOURCE: U.S. Department of Education, Institute of Education Sciences, National Center for Education Statistics, National Assessment of Educational Progress (NAEP), 2013 State Assessment. |
|||
NAEP Technical Documentation Website
NAEP Technical Documentation Stratification by Urbanization Classification for the 2013 State Assessment
The creation of the urbanicity classification variable was based on the NCES urban-centric locale and was defined within each explicit stratum. The NCES urban-centric locale contains the following categories:
Large City: Territory inside an urbanized area and inside a principal city with population of 250,000 or more;
Mid-size City: Territory inside an urbanized area and inside a principal city with population less than 250,000 and greater than or equal to 100,000;
Small City: Territory inside an urbanized area and inside a principal city with population less than 100,000;
Large Suburb: Territory outside a principal city and inside an urbanized area with population of 250,000 or more;
Mid-size Suburb: Territory outside a principal city and inside an urbanized area with population less than 250,000 and greater than or equal to 100,000;
Small Suburb: Territory outside a principal city and inside an urbanized area with population less than 100,000;
Fringe Town: Territory inside an urban cluster that is less than or equal to 10 miles from an urbanized area;
Distant Town: Territory inside an urban cluster that is more than 10 miles and less than or equal to 35 miles from an urbanized area.
Remote Town: Territory inside an urban cluster that is more than 35 miles of an urbanized area;
Fringe Rural: Census-defined rural territory that is less than or equal to 5 miles from an urbanized area, as well as rural territory that is less than or equal to 2.5 miles from an urban cluster;
Distant Rural: Census-defined rural territory that is more than 5 miles but less than or equal to 25
miles from an urbanized area, as well as rural territory that is more than 2.5 miles but less than or equal to 10 miles from an urban cluster;
Remote Rural: Census-defined rural territory that is more than 25 miles from an urbanized area and is also more than 10 miles from an urban cluster; and
Outside of the United States: Department of Defense Education Activity (DoDEA) overseas schools or Puerto Rico.
For the definitions of the geographic terms used in these descriptions, please refer to the Census Bureau’s website (for example, www.census.gov/population/www/metroareas/aboutmetro.html)
The urbanicity classification cells were created by starting with the original NCES urban-centric locale categories. Urbanicity strata were collapsed with neighboring strata until a minimum cell size criterion, in terms of the percentage of students, was met. The minimum cell size criterion varied by type of explicit stratum. The
criterion for explicit strata comprising the largest TUDA districts (Los Angeles, New York City, Chicago, Miami, and Houston) was 12 percent; for the other TUDA districts, it was 18 percent; and for all other explicit strata, it was 9 percent.
The urbanicity classification variable was equal to the original NCES urban-centric locale if no collapsing was necessary. If collapsing was necessary, the collapsing scheme first collapsed within the four major strata (city, suburbs, town, rural). For example, urbanicity categories 1, 2, and 3 within city were collapsed (1 with 2, 2 with
3) if cells 1 or 3 were deficient. If the middle cell (e.g., 2) was deficient, then it was collapsed with the smaller of the two end cells. If a collapsed pair was still deficient, it was collapsed with the remaining unit within the major stratum. That is, a single city cell would be created by collapsing the large city, mid-size city, and small city cells. If a cell was still deficient after collapsing within major stratum, further collapsing across major strata occurred as needed until the deficiency was resolved. The values of the urbanicity classification variable were set equal to
the cell value of the final level of collapsing.
Prior experience with this type of stratification has shown that the greatest efficiency of stratification results when cities and suburb fringe areas are always kept separate from towns and rural areas, even if the enrollment criterion is violated.
NAEP Technical Documentation Website
NAEP Technical Documentation Stratification by Race/Ethnicity Classification for the 2013 State Assessment
Race/ethnicity classification was based on the second and third largest race/ethnicity percentages (among non- Hispanic White, non-Hispanic Black, Hispanic, Asian, American Indian/Alaska Native, Hawaiian/Pacific Islander, and students classified as two or more races) within each urbanicity classification stratum. The race/ethnicity strata were formed using one of three classification schemes as follows:
Case 1: Urbanicity cells where both the second and third largest race/ethnicity groups contained less than 7 percent of students in the urbanicity cell were not stratified by race/ethnicity enrollment (race/ethnicity stratification value was set to 0). There were no race/ethnicity strata formed within these urbanicity cells.
Case 2: Urbanicity cells where the second largest race/ethnicity group contained at least 7 percent but no more than 15 percent of students in the urbanicity cell were stratified into three race/ethnicity cells. Schools were ordered by the sum of the percentage of race/ethnicity enrollment for the second and third largest groups within the urbanicity cell and then divided into three approximately equal size groups in terms of students.
Case 3: Urbanicity cells where both the second and third largest race/ethnicity groups contained more than 15 percent of students in the urbanicity cell were stratified into four race/ethnicity cells. The second largest group provided the primary stratification variable; the third largest group provided the secondary stratification variable. Within an urbanicity cell, schools were first sorted based on the primary stratification variable. Then they were divided into two strata of schools containing approximately equal numbers of students. Within each of these two strata, the schools were sorted by the secondary stratification variable and subdivided into two substrata of schools containing approximately equal numbers of students. The four race/ethnicity classifications consisted of the following values; low primary variable/low secondary variable, low primary variable/high secondary variable, high primary variable/low secondary variable, and high primary variable/high secondary variable.
NAEP Technical Documentation Website
NAEP Technical Documentation Stratification by Achievement Data and Median Income for the 2013 State Assessment
The
achievement data obtained from each jurisdiction are derived from
the results of state assessment programs. The contents of the
achievement data files varied by
jurisdiction
and included achievement measures for a variety of subjects, grades,
and multiple assessment programs. One achievement measure was
selected
for
Jurisdictions Using Achievement Data or Median Household Income in Stratification
each responding jurisdiction to be used in the stratification process. Where available, the achievement data were used
for implicit stratification by grade. Since the achievement data are more current than the median household income data, as well as more likely to be well-correlated to NAEP assessment scores, they were judged to be a more effective stratification variable. The achievement measures were selected according to the following criteria:
Achievement
measures from state assessments conducted in mathematics and reading
(in that order of priority) were utilized, if available. For grade
4, data from fourth-grade assessments were used, if available;
otherwise, data from third-grade assessments. For grade 8, data from
eighth-grade assessments were used, if available; otherwise, data
from seventh-grade assessments. For both grades, data from 2009
assessments (the latest available) were used. For grade 12,
achievement measures were not
available.
Achievement
measures should match to at least 70 percent of the schools on the
sampling frames.
Achievement
measures should differentiate schools from one another. For example,
district-level measures, those with high missing rates or pass/fail
indicators, were judged not to be useful for differentiating
schools. In addition, achievement measures that did not have good
dispersion were not used for stratification.
All
other things being equal, the possibilities for score types were
average scale score, median scale score, percentile rank, median
percentile rank, normal curve equivalent, raw score, index score,
and percentage above a particular cut score or quartile. In general,
the availability varied for any given state/grade/subject/year.
Achievement data useful for implicit stratification were obtained from 50 of 52 jurisdictions for both fourth- and eighth- grade assessments. Where achievement data were not used, median household income was used based on the zip code area in which the school is located. The source of median household income is the 2000 Census.
NAEP Technical Documentation Website
NAEP Technical Documentation Jurisdictions Using Achievement Data or Median Household Income in Stratification for the 2013 State Assessment
This table shows whether achievement data or median household income was used as a stratification variable for participating
jurisdictions. Neither achievement nor median income data was available for stratification of Bureau of Indian Education (BIE) and Department of Defense Education Activity (DoDEA) schools. The estimated grade enrollment was used in these two jurisdictions.
Type of data, achievement or median household income, used for stratification, state assessment, by grade and jurisdiction: 2013
Jurisdiction |
Grade 4 |
Grade 8 |
||
Achievement |
Income |
Achievement |
Income |
|
Alabama |
YES |
NO |
YES |
NO |
Alaska |
YES |
NO |
YES |
NO |
Arizona |
YES |
NO |
YES |
NO |
Arkansas |
YES |
NO |
YES |
NO |
California |
YES |
NO |
YES |
NO |
Colorado |
YES |
NO |
YES |
NO |
Connecticut |
YES |
NO |
YES |
NO |
Delaware |
YES |
NO |
YES |
NO |
Florida |
YES |
NO |
YES |
NO |
Georgia |
YES |
NO |
YES |
NO |
Hawaii |
YES |
NO |
YES |
NO |
Idaho |
YES |
NO |
YES |
NO |
Illinois |
YES |
NO |
YES |
NO |
Indiana |
YES |
NO |
YES |
NO |
Iowa |
YES |
NO |
YES |
NO |
Kansas |
YES |
NO |
YES |
NO |
Kentucky |
YES |
NO |
YES |
NO |
Louisiana |
YES |
NO |
YES |
NO |
Maine |
YES |
NO |
YES |
NO |
Maryland |
YES |
NO |
YES |
NO |
Massachusetts |
YES |
NO |
YES |
NO |
Michigan |
YES |
NO |
YES |
NO |
Minnesota |
YES |
NO |
YES |
NO |
Mississippi |
YES |
NO |
YES |
NO |
Missouri |
YES |
NO |
YES |
NO |
Montana |
YES |
NO |
YES |
NO |
Nebraska |
NO |
YES |
NO |
YES |
Nevada |
YES |
NO |
YES |
NO |
New Hampshire |
YES |
NO |
YES |
NO |
New Jersey |
YES |
NO |
YES |
NO |
New Mexico |
YES |
NO |
YES |
NO |
New York |
YES |
NO |
YES |
NO |
North Carolina |
YES |
NO |
YES |
NO |
North Dakota |
YES |
NO |
YES |
NO |
Ohio |
YES |
NO |
YES |
NO |
Oklahoma |
YES |
NO |
YES |
NO |
Oregon |
YES |
NO |
YES |
NO |
Pennsylvania |
YES |
NO |
YES |
NO |
Rhode Island |
YES |
NO |
YES |
NO |
South Carolina |
YES |
NO |
YES |
NO |
South Dakota |
YES |
NO |
YES |
NO |
Tennessee |
YES |
NO |
YES |
NO |
|
|
|
|
|
Texas |
YES |
NO |
YES |
NO |
Utah |
YES |
NO |
YES |
NO |
Vermont |
YES |
NO |
YES |
NO |
Virginia |
YES |
NO |
YES |
NO |
Washington |
YES |
NO |
YES |
NO |
West Virginia |
YES |
NO |
YES |
NO |
Wisconsin |
YES |
NO |
YES |
NO |
Wyoming |
YES |
NO |
YES |
NO |
Other jurisdictions |
||||
Bureau of Indian Education (BIE) |
— |
— |
— |
— |
Department of Defense Education Activity (DoDEA) |
— |
— |
— |
— |
District of Columbia |
YES |
NO |
YES |
NO |
Puerto Rico |
NO |
YES |
NO |
YES |
— Not available. NOTE: With the exception of the state of Nebraska, and the jurisdiction of Puerto Rico, in all other states and the District of Columbia achievement data was used as a stratification variable for the 2013 state assessment. SOURCE: U.S. Department of Education, Institute of Education Sciences, National Center for Education Statistics, National Assessment of Educational Progress (NAEP), 2013 State Assessment. |
||||
Schools with missing stratification variables had their data imputed as follows:
Schools with missing estimated grade enrollment had their estimated grade enrollment set to 20. Schools missing the urbanicity (urban-centric locale) variable were assigned the modal value of urbanicity for schools in the same five-digit zip code or the same city. The mean ethnicity percentage was imputed at the five-digit zip code level only if all schools were missing ethnicity at the district level, and only at the three-digit zip code prefix if the five-digit zip code mean was missing as well.
Schools with missing or questionable values in race/ethnicity enrollment data—those in which the summation of the ethnicity percentages did not fall in the range 97 through 103, indicating a gross error—were assigned the average race/ethnicity enrollment within their school district, five-digit zip code, or three-digit zip code prefix.
Schools with missing achievement data in jurisdictions and grades for which achievement data were used in stratification were assigned the mean achievement data value within their urbanization and race/ethnicity classification. The achievement data were imputed only for those schools in jurisdictions and grades in which achievement data were used for stratification.
Schools missing median household income were assigned the mean value of median household income for the three-digit zip code prefix in which they were located. In some cases, imputation was not possible at the three-digit zip code level, and needed to be done at the city and state level.
For the grades 4, 8, and 12 public school state assessment samples, schools were sampled independently from each jurisdiction with probability proportional-to-size (PPS) using systematic sampling. Prior to sampling, schools in each jurisdiction were sorted by the appropriate implicit stratification variables (urbanicity status, race/ethnicity status, and achievement score or zip code-based median household income) in a serpentine order. A school's measure of size was a complex function of the school's estimated grade enrollment. Schools whose measure of size was larger than
Computation of Measures of Size
School
Sample Sizes: Frame and New School
Evaluation of the Samples Using State Achievement Data
the sampling interval could be selected or “hit” multiple times. Schools with multiple hits were selected with certainty and had larger student sample sizes.
The sampled schools for the public school state assessment samples came from two frames: the public school sample frame (as constructed from the Common Core of Data (CCD)) and the new- school sampling frame.
Schools from the CCD-based frame were sampled at a rate that would yield specific target student sample sizes for each jurisdiction. At grades 4 and 8, jurisdictions had a target sample size of 6,600 students - 3,150 students each for the reading and mathematics operational
assessments and 300 students for pilot tests. For the special mathematics assessment in Puerto Rico, the target sample size was 5,800 students. By design, Bureau of Indian Education
(BIE) schools were not part of the state assessments this year. However, separate BIE school samples were selected based on target student sample sizes that were large enough to ensure that BIE schools were sufficiently represented in the national samples.
At grade 12, the target sample sizes of students differed by jurisdiction and are shown in the following table. These numbers reflect the desired number of assessed students for the reading and mathematics operational assessments (2,300 students per subject) and an upward adjustment to offset expected rates of school and student attrition due to nonresponse and ineligibility.
Target sample sizes of assessed students, grade 12 state assessment, by jurisdiction: 2013
Jurisdiction |
Target student sample size |
Arkansas |
6,200 |
Connecticut |
6,750 |
Florida |
6,600 |
Idaho |
6,250 |
Illinois |
7,250 |
Iowa |
6,850 |
Massachusetts |
6,250 |
Michigan |
7,400 |
New Hampshire |
8,350 |
New Jersey |
6,500 |
South Dakota |
6,500 |
Tennessee |
7,400 |
West Virginia |
6,650 |
SOURCE: U.S. Department of Education, Institute of Education Sciences, National Center for Education Statistics, National Assessment of Educational Progress (NAEP), 2013 State Assessment. |
|
Prior to selection, schools were deeply stratified in each jurisdiction to ensure that the school sample distribution reflected the school population distribution as closely as possible, with regard to the stratification variables, to miminimize sampling error. The success of this approach was shown by comparing the proportion of minorities enrolled in schools (based on CCD values for each school), median income, and urban-centric locale (viewed as an interval variable) reported in the original frame against the school sample.
In addition, the distribution of state assessment achievement scores for the original frame can be compared with that of the school sample for those jurisdictions for which state assessment achievement data are available, as was done in the evaluation of the samples using state achievement data. The number of significant differences found in this analysis was smaller than what would be expected to occur by chance, given the large number of comparisons that were made. The number of significant differences remained small even with the use of a finite population correction factor in the calculation of the sampling variances. The close adherence of sample values to frame values suggested there is little evidence that the school sample for NAEP 2013 is not representative of the frame from which it was selected. The achievement/median income variable is used as the third-level sort order variable in the school systematic selection procedure. While it may be a rather low-level sort variable, it still helps control how representative the sampled schools are in terms of achievement. The close agreement between frame and sample values of these achievement/median income variables provided assurance that the selected sample is representative of the frame with respect to achievement status.
NAEP Technical Documentation Website
NAEP Technical Documentation Computation of Measures of Size for the 2013 State Assessment
In designing each school sample, five objectives underlie the process of determining the probability of selection for each school and how many students are to be sampled from each selected school containing the respective grade:
to
meet the target student sample size for each grade; to select an
equal-probability sample of students;
to
limit the number of students selected from any one school;
to
ensure that the sample within a school does not include a very high
percentage of the students in the school, unless all students are
included; and
to
reduce the rate of sampling of small schools, in recognition of the
greater cost and burden per student of conducting assessments in such
schools.
The goal in determining the school's measure of size is to optimize across the last four objectives in terms of maintaining the accuracy of estimates and the cost effectiveness of the sample design. In certain jurisdictions, a census of students was taken so as to meet, as nearly as possible, the target student sample size. Elsewhere, to meet the target student sample and achieve a reasonable compromise among the other four objectives above, the following algorithm was used to assign a measure of size to each school based on its enrollment per grade as indicated on the sampling frame.
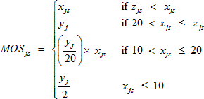
The preliminary measures of size (MOSjs) were set as follows:
where xjs is the estimated grade enrollment for school s in jurisdiction j, yj the target within-school student sample size for jurisdiction j, and zjs the within-school take-all student cutoff for jurisdiction j to which school s belongs.
For grades 4 and 8, the target sample size and take-all cutoff were 63 students and 70 students for all jurisdictions, respectively, with the exception of Puerto Rico, where the target sample size was 50 students, and the take-all cutoff was 55 students. For grade 12, the target sample size and take-all cutoff were 60 students and 66 students, respectively.
The preliminary measure of size reflects the need to lower the expected number of very small schools in
the sample, as the marginal cost for each assessed student in these schools is higher. These very small schools are sampled at half the rate of the larger schools, and their weights are doubled to account for the half sampling.
The next task in this development is to describe bj, the constant of proportionality for a specified jurisdiction. It is a sampling parameter that, when multiplied by a school’s preliminary measure of size (MOSjs), yields the school’s final measure of size. It is computed in such a way that, when used with the systematic sampling procedure, the target student sample size is achieved.
The final measure of size, Ejs, is defined as:
The quantity uj (the maximum number of “hits” allowed) in this formula is designed to put an upper bound on the burden for the sampled schools. In most jurisdictions, uj was set to 3. In Alaska, uj was set to 8, and in Puerto Rico, uj was set to 1.
In addition, new and newly-eligible schools were sampled from the new-school frame. The assigned measures of size for these schools,
,
used the bj and uj values from the CCD-based school frame for the jurisdiction (i.e., the same sampling rate as for the CCD-based school sample within each jurisdiction). The variable πdjs is the probability of selection of the district into the new-school district (d) sample.
NAEP Technical Documentation Website
NAEP Technical Documentation School Sample Sizes: List Frame-Based and New School for the 2013 State Assessment
The following table lists the number of sampled schools taken from the public school sampling frame (as constructed from the Common Core of Data) and the new-school sampling frame, for both fourth and eighth grades, by participating jurisdiction. The school counts shown are at the time of sampling. After school sampling, it was determined that in some Trial Urban District Assessments (TUDAs) a few schools did not contribute to the TUDA's Adequate Yearly Progress (AYP). These schools were then classified as out of scope for the TUDA but in scope for the state.
NAEP state frame-based and new public school samples, state assessment, by grade and jurisdiction: 2013
Jurisdiction |
Grade 4 |
Grade 8 |
||||
Total school sample |
Frame school sample |
New school sample |
Total school sample |
Frame school sample |
New school sample |
|
Total |
8,350 |
8,170 |
190 |
6,970 |
6,760 |
210 |
Alabama |
120 |
120 |
0 |
110 |
110 |
0 |
Alaska |
200 |
200 |
# |
150 |
140 |
# |
Arizona |
120 |
120 |
# |
120 |
120 |
10 |
Arkansas |
120 |
120 |
10 |
110 |
110 |
# |
California–Fresno |
50 |
50 |
0 |
30 |
30 |
0 |
California–Los Angeles |
90 |
80 |
# |
80 |
80 |
10 |
California–San Diego |
60 |
60 |
0 |
40 |
40 |
# |
California–Balance |
100 |
100 |
# |
110 |
100 |
10 |
Colorado |
120 |
120 |
0 |
120 |
120 |
# |
Connecticut |
120 |
120 |
# |
110 |
110 |
# |
Delaware |
100 |
100 |
10 |
70 |
60 |
10 |
Florida–Hillsborourgh County |
60 |
60 |
# |
50 |
50 |
# |
Florida–Miami |
90 |
80 |
# |
80 |
80 |
10 |
Florida–Balance |
90 |
90 |
# |
90 |
90 |
# |
Georgia–Atlanta |
60 |
60 |
0 |
30 |
30 |
0 |
Georgia–Balance |
100 |
100 |
# |
100 |
100 |
# |
Hawaii |
120 |
120 |
# |
60 |
60 |
# |
Idaho |
130 |
130 |
# |
100 |
100 |
# |
Illinois–Chicago |
100 |
100 |
# |
100 |
100 |
# |
Illinois–Balance |
100 |
100 |
0 |
100 |
100 |
0 |
Indiana |
120 |
120 |
# |
110 |
110 |
# |
Iowa |
140 |
140 |
# |
120 |
120 |
# |
Kansas |
150 |
140 |
10 |
130 |
130 |
10 |
Kentucky–Jefferson County |
50 |
50 |
0 |
40 |
40 |
0 |
Kentucky–Balance |
100 |
100 |
# |
100 |
100 |
# |
Louisiana |
130 |
120 |
10 |
150 |
120 |
30 |
Maine |
160 |
160 |
# |
120 |
120 |
0 |
Maryland–Baltimore |
70 |
70 |
# |
70 |
60 |
# |
Maryland–Balance |
100 |
100 |
# |
100 |
100 |
0 |
Massachusetts–Boston |
80 |
80 |
0 |
40 |
40 |
0 |
Massachusetts–Balance |
110 |
110 |
0 |
100 |
100 |
# |
Michigan–Detroit |
80 |
80 |
0 |
70 |
70 |
0 |
Michigan–Balance |
110 |
110 |
0 |
110 |
110 |
0 |
Minnesota |
130 |
130 |
# |
130 |
130 |
10 |
Mississippi |
120 |
110 |
10 |
110 |
110 |
0 |
Missouri |
130 |
130 |
# |
130 |
120 |
# |
Montana |
200 |
200 |
0 |
150 |
150 |
0 |
Nebraska |
170 |
170 |
0 |
130 |
130 |
0 |
Nevada |
120 |
110 |
# |
90 |
90 |
# |
New Hampshire |
130 |
130 |
0 |
90 |
90 |
0 |
New Jersey |
120 |
120 |
# |
110 |
110 |
# |
New Mexico–Albuquerque |
60 |
60 |
0 |
40 |
40 |
# |
New Mexico–Balance |
100 |
90 |
# |
80 |
80 |
# |
New York–New York City |
80 |
80 |
# |
90 |
80 |
# |
New York–Balance |
80 |
80 |
0 |
70 |
70 |
0 |
North Carolina–Charlotte |
50 |
50 |
0 |
40 |
40 |
# |
North Carolina–Balance |
110 |
100 |
10 |
100 |
100 |
# |
North Dakota |
270 |
260 |
10 |
190 |
190 |
# |
Ohio–Cleveland |
90 |
80 |
# |
90 |
80 |
# |
Ohio–Balance |
120 |
110 |
# |
110 |
110 |
# |
Oklahoma |
140 |
140 |
10 |
130 |
130 |
10 |
Oregon |
130 |
130 |
# |
130 |
120 |
10 |
Pennsylvania–Philadelphia |
60 |
60 |
0 |
60 |
60 |
# |
Pennsylvania–Balance |
110 |
110 |
0 |
100 |
100 |
0 |
Rhode Island |
120 |
120 |
# |
60 |
60 |
10 |
South Carolina |
120 |
110 |
# |
110 |
110 |
# |
South Dakota |
190 |
190 |
0 |
150 |
150 |
0 |
Tennessee |
120 |
120 |
# |
110 |
110 |
# |
Texas–Austin |
60 |
50 |
# |
30 |
20 |
# |
Texas–Dallas |
60 |
50 |
# |
40 |
40 |
# |
Texas–Houston |
80 |
80 |
# |
50 |
50 |
# |
Texas–Balance |
110 |
100 |
10 |
110 |
110 |
10 |
Utah |
120 |
110 |
10 |
120 |
110 |
10 |
Vermont |
220 |
220 |
0 |
120 |
120 |
# |
Virginia |
110 |
110 |
0 |
110 |
110 |
# |
Washington |
120 |
120 |
# |
120 |
120 |
0 |
West Virginia |
150 |
150 |
0 |
110 |
110 |
# |
Wisconsin–Milwaukee |
70 |
70 |
# |
60 |
60 |
# |
Wisconsin–Balance |
120 |
120 |
# |
110 |
110 |
# |
Wyoming |
200 |
190 |
10 |
100 |
90 |
10 |
Other jurisdictions |
||||||
Bureau of Indian Education (BIE) |
20 |
20 |
0 |
10 |
10 |
# |
Department of Defense Education Activity (DoDEA) |
120 |
110 |
10 |
70 |
60 |
10 |
District of Columbia (TUDA) |
90 |
90 |
# |
40 |
40 |
# |
District of Columbia–Balance |
50 |
40 |
10 |
50 |
40 |
10 |
Puerto Rico |
170 |
160 |
10 |
130 |
120 |
10 |
# Rounds to zero. NOTE: Numbers of schools are rounded to nearest ten. Detail may not sum to totals due to rounding. |
||||||
SOURCE: U.S. Department of Education, Institute of Education Sciences, National Center for Education Statistics, National Assessment of Educational Progress (NAEP), 2013 State Assessment.
The following table lists the number of sampled schools taken from the public school sampling frame (as constructed from the Common Core of Data) and the new-school sampling frame, for twelfth grade, by participating jurisdiction.
NAEP state frame-based and new public school samples, grade 12 state assessment, by jurisdiction: 2013
Jurisdiction |
Total school sample |
Frame school sample |
New school sample |
Total 1 |
1,460 |
1,460 |
10 |
Arkansas |
100 |
100 |
0 |
Connecticut |
110 |
110 |
0 |
Florida |
120 |
120 |
# |
Idaho |
100 |
100 |
0 |
Illinois |
130 |
130 |
0 |
Iowa |
120 |
120 |
0 |
Massachusetts |
110 |
110 |
# |
Michigan |
140 |
140 |
# |
New Hampshire |
80 |
80 |
0 |
New Jersey |
110 |
110 |
# |
South Dakota |
140 |
140 |
0 |
Tennessee |
130 |
130 |
0 |
West Virginia |
90 |
90 |
0 |
1 The aggregate of the 13 states participating in the state assessments at grade 12. # Rounds to zero. NOTE: Numbers of schools are rounded to nearest ten. Detail may not sum to totals due to rounding. SOURCE: U.S. Department of Education, Institute of Education Sciences, National Center for Education Statistics, National Assessment of Educational Progress (NAEP), 2013 State Assessment. |
|||
NAEP Technical Documentation Website
NAEP Technical Documentation Evaluation of the Samples for the 2013 State Assessment Using State Achievement Data
The purpose of this analysis was to determine whether public schools selected for the 2013 samples were representative of the schools on the NAEP sampling frames in terms of student achievement. Percentiles of the achievement distributions were compared between the frame and sample schools for each public school jurisdiction in grades 4, 8, and 12.
Achievement Data
For grades 4 and 8, the achievement variable used in the analysis was the same variable used in the NAEP sample design to stratify the public school frame. For most jurisdictions, the variable was an achievement score provided by the jurisdiction.
However, for some jurisdictions where achievement data were not available, median household income from the 2000 Census was used. (In 2000, the Census determined median household income based on the five-digit zip code area in which the school was located.) The achievement data consisted of various types of school-specific achievement measures from state assessment programs. The type of achievement data available varied by jurisdiction. For instance, in some states, the measure was the average score for a given state assessment. In other states, the measure was a percentile rank or percentage of students above a specific score. For grade 12, since achievement data was not available, median household income based on zip code area from the 2000 Census was used.
During frame development, not every record on the Common Core of Data (CCD) file matched to the achievement data files created for the National Center for Education Statistics (NCES), even in jurisdictions where those data were generally available. For schools that did not match, their achievement score was imputed by a mean matching imputation approach using the mean achievement score for schools with complete achievement data within the same jurisdiction-urbanicity- race/ethnicity stratum combination.
Methodology
To determine whether the distributions between the frame and sample schools were different, comparisons of percentile estimates were made for the 10th, 25th, 50th, 75th, and 90th percentile levels as well as the mean for each public school jurisdiction by grade. Frame and sample school estimates were considered statistically different if the frame value fell outside the 95 percent confidence interval of the corresponding sample estimate. The percentile values for the frame schools were calculated by weighting each school by the estimated number of students in the given grade. The percentile estimates for the sample schools were calculated using school weights and weighted by the school measure of size (estimated number of students in the given grade). The 95 percent confidence intervals for the school sample estimates were calculated in WesVar—software for computing estimates of sampling variance from complex sample survey (Westat, 2000b —using the Woodruff method (Sarndal, Swensson, and Wretman 1992) with the use of a finite population correction factor.
Results
As mentioned above, sample and frame achievement distributions were determined to be different if at least one of the percentile estimates or the mean differed significantly at the 95 percent confidence level. Out of all the jurisdiction and grade comparisons (excluding jurisdictions where all schools in the frame were selected), only 14 of the 810 distributions compared were found to be significantly different. They are shown in the table below
Summary of significant differences in achievement measures between the sample and the frame, state assessment, by jurisdiction and grade: 2013
Grade |
Jurisdiction |
Achievement data / median income |
Estimate |
Frame |
Sample |
Confidence interval |
4 |
Delaware |
Achievement data |
75th percentile |
87.23 |
86.47 |
(86.38, 87.20) |
Fresno TUDA |
Achievement |
25th |
46.52 |
46.42 |
(46.36, 46.51) |
|
|
data |
percentile |
|
|
|
San Diego TUDA |
Achievement data |
mean |
66.19 |
66.97 |
(66.26, 67.69) |
|
8 |
Maine |
Achievement data |
25th percentile |
45.94 |
46.28 |
(46.16, 46.38) |
New Mexico |
Achievement data |
50th percentile |
39.98 |
37.58 |
(37.19, 39.85) |
|
New Mexico |
Achievement data |
mean |
42.15 |
41.21 |
(40.47, 41.95) |
|
South Dakota |
Achievement data |
25th percentile |
68.86 |
69.00 |
(68.87, 70.00) |
|
South Dakota |
Achievement data |
90th percentile |
90.93 |
89.53 |
(89.21, 90.54) |
|
Detroit TUDA |
Achievement data |
75th percentile |
62.68 |
61.45 |
(59.36, 62.48) |
|
Detroit TUDA |
Achievement data |
90th percentile |
75.26 |
74.67 |
(74.15, 75.21) |
|
Hillsborough TUDA |
Achievement data |
75th percentile |
76.35 |
76.46 |
(76.36, 76.58) |
|
Houston TUDA |
Achievement data |
mean |
78.83 |
79.11 |
(78.91, 79.31) |
|
12 |
Illinois |
Median income |
10th percentile |
31,564.65 |
30,157.62 |
(28,203.36, 31,475.48) |
Tennessee |
Median income |
90th percentile |
55,748.34 |
52,008.12 |
(51,304.59, 55,454.43) |
|
SOURCE: U.S. Department of Education, Institute of Education Sciences, National Center for Education Statistics, National Assessment of Educational Progress (NAEP), 2013 State Assessment. |
||||||
The number of significant differences found in this analysis was smaller than what would be expected to occur by chance, given the large number of comparisons that were made. Also, the number of significant differences remained small even with the added use of a finite population correction factor in the calculation of the sampling variances. Even in the statistically significant cases, the close adherence of sample values to frame values suggests there is little evidence that the school sample for NAEP 2013 is not representative of the frame from which it was selected. The achievement/median income variable is used as the fourth-level sort order variable in the school systematic selection procedure. While it may be a rather low level sort variable, it still helps control how representative the sampled schools are in terms of achievement. The close agreement between frame and sample values of these achievement/median income variables provided assurance that the selected sample is representative of the frame with respect to achievement or income status.
Documentation Substitute Schools for the 2013 State Assessment
As participation is effectively mandatory by law at fourth and eighth grades, substitute schools for nonresponding schools were not provided. However, participation was not mandatory at twelfth grade, and substitute schools were used. Substitutes were preselected for the twelfth-grade public school sample by sorting the school frame file according to the actual order used in the sampling process (the implicit stratification). Each sampled school had each of its nearest neighbors on the school frame file selected as a potential substitute. The last sort ordering was by grade enrollment. The result was that the nearest neighbors had grade enrollment values very close to that of the sampled school. To be eligible as a potential substitute, the neighbor needed to be a nonsampled school (for any grade). The school also needed to be in the same implicit stratum as the sampled school. If both nearest neighbors were eligible to be substitutes, the one with a closer grade enrollment was chosen.
Five substitutes participated in the twelfth-grade public school sample in the 13 states.
The
Common Core of Data (CCD) public school file from which most of the
sampled schools were drawn corresponds to the 2009-2010 school year,
some 3 years prior to the assessment school year. During the
intervening period, some of
these
Eligible Schools Sampled
Ineligible
Sampled Schools by Ineligibility Type
schools either closed, no longer offered the grade of interest, or were ineligible for other reasons. In such cases, the sampled school was coded as ineligible.
NAEP Technical Documentation Website
NAEP Technical Documentation Eligible Schools Sampled for the 2013 State Assessment
The following table shows the number of eligible fourth- and eighth-grade schools sampled for each NAEP 2013 state assessment jurisdiction.
Eligible sampled schools, state assessment, by grade and jurisdiction: 2013
Jurisdiction |
Grade 4 |
Grade 8 |
||
Total school sample |
Eligible school sample |
Total school sample |
Eligible school sample |
|
Total |
8,350 |
7,860 |
6,970 |
6,440 |
Alabama |
120 |
110 |
110 |
100 |
Alaska |
200 |
180 |
150 |
120 |
Arizona |
120 |
120 |
120 |
110 |
Arkansas |
120 |
120 |
110 |
110 |
California–Fresno |
50 |
50 |
30 |
20 |
California–Los Angeles |
90 |
80 |
80 |
80 |
California–San Diego |
60 |
60 |
40 |
40 |
California–Balance |
100 |
100 |
110 |
100 |
Colorado |
120 |
120 |
120 |
110 |
Connecticut |
120 |
110 |
110 |
110 |
Delaware |
100 |
90 |
70 |
50 |
Florida–Hillsborourgh County |
60 |
60 |
50 |
50 |
Florida–Miami |
90 |
80 |
80 |
70 |
Florida–Balance |
90 |
90 |
90 |
80 |
Georgia–Atlanta |
60 |
50 |
30 |
20 |
Georgia–Balance |
100 |
100 |
100 |
100 |
Hawaii |
120 |
120 |
60 |
60 |
Idaho |
130 |
120 |
100 |
100 |
Illinois–Chicago |
100 |
90 |
100 |
90 |
Illinois–Balance |
100 |
90 |
100 |
90 |
Indiana |
120 |
110 |
110 |
100 |
Iowa |
140 |
130 |
120 |
110 |
Kansas |
150 |
140 |
130 |
120 |
Kentucky–Jefferson County |
50 |
50 |
40 |
30 |
Kentucky–Balance |
100 |
100 |
100 |
100 |
Louisiana |
130 |
110 |
150 |
120 |
Maine |
160 |
150 |
120 |
110 |
Maryland–Baltimore |
70 |
70 |
70 |
60 |
Maryland–Balance |
100 |
100 |
100 |
100 |
Massachusetts–Boston |
80 |
70 |
40 |
40 |
Massachusetts–Balance |
110 |
100 |
100 |
100 |
Michigan–Detroit |
80 |
60 |
70 |
40 |
Michigan–Balance |
110 |
100 |
110 |
100 |
Minnesota |
130 |
120 |
130 |
110 |
Mississippi |
120 |
110 |
110 |
110 |
Missouri |
130 |
130 |
130 |
120 |
Montana |
200 |
190 |
150 |
140 |
Nebraska |
170 |
160 |
130 |
120 |
Nevada |
120 |
120 |
90 |
90 |
New Hampshire |
130 |
130 |
90 |
90 |
New Jersey |
120 |
120 |
110 |
110 |
New Mexico–Albuquerque |
60 |
60 |
40 |
40 |
New Mexico–Balance |
100 |
100 |
80 |
80 |
New York–New York City |
80 |
80 |
90 |
80 |
New York–Balance |
80 |
70 |
70 |
70 |
North Carolina–Charlotte |
50 |
50 |
40 |
30 |
North Carolina–Balance |
110 |
100 |
100 |
100 |
North Dakota |
270 |
250 |
190 |
180 |
Ohio–Cleveland |
90 |
70 |
90 |
70 |
Ohio–Balance |
120 |
110 |
110 |
110 |
Oklahoma |
140 |
140 |
130 |
130 |
Oregon |
130 |
130 |
130 |
120 |
Pennsylvania–Philadelphia |
60 |
60 |
60 |
50 |
Pennsylvania–Balance |
110 |
100 |
100 |
90 |
Rhode Island |
120 |
120 |
60 |
60 |
South Carolina |
120 |
110 |
110 |
110 |
South Dakota |
190 |
180 |
150 |
140 |
Tennessee |
120 |
110 |
110 |
110 |
Texas–Austin |
60 |
50 |
30 |
20 |
Texas–Dallas |
60 |
50 |
40 |
40 |
Texas–Houston |
80 |
80 |
50 |
50 |
Texas–Balance |
110 |
110 |
110 |
110 |
Utah |
120 |
110 |
120 |
110 |
Vermont |
220 |
220 |
120 |
120 |
Virginia |
110 |
110 |
110 |
110 |
Washington |
120 |
120 |
120 |
110 |
West Virginia |
150 |
140 |
110 |
100 |
Wisconsin–Milwaukee |
70 |
60 |
60 |
50 |
Wisconsin–Balance |
120 |
120 |
110 |
100 |
Wyoming |
200 |
180 |
100 |
90 |
Other jurisdictions |
||||
Bureau of Indian Education |
20 |
20 |
10 |
10 |
(BIE) |
|
|
|
|
Department of Defense Education Activity (DoDEA) |
120 |
100 |
70 |
60 |
District of Columbia (TUDA) |
90 |
80 |
40 |
30 |
District of Columbia–Balance |
50 |
40 |
50 |
40 |
Puerto Rico |
170 |
150 |
130 |
120 |
NOTE: Numbers of schools are rounded to nearest ten. Detail may not sum to totals due to rounding. "Balance" refers to the part of the state outside of the TUDA district(s). SOURCE: U.S. Department of Education, Institute of Education Sciences, National Center for Education Statistics, National Assessment of Educational Progress (NAEP), 2013 State Assessment. |
||||
The following table shows the number of eligible twelfth-grade schools sampled for each NAEP 2013 state assessment jurisdiction.
Eligible sampled schools, grade 12 state assessment, by jurisdiction: 2013
Jurisdiction |
Total school sample |
Eligible school sample |
Total 1 |
1,460 |
1,390 |
Arkansas |
100 |
100 |
Connecticut |
110 |
100 |
Florida |
120 |
110 |
Idaho |
100 |
90 |
Illinois |
130 |
120 |
Iowa |
120 |
120 |
Massachusetts |
110 |
110 |
Michigan |
140 |
130 |
New Hampshire |
80 |
80 |
New Jersey |
110 |
110 |
South Dakota |
140 |
130 |
Tennessee |
130 |
120 |
West Virginia |
90 |
90 |
1 The aggregate of the 13 states participating in the state assessments at grade 12. NOTE: Numbers of schools are rounded to nearest ten. Detail may not sum to totals due to rounding. SOURCE: U.S. Department of Education, Institute of Education Sciences, National Center for Education Statistics, National Assessment of Educational Progress (NAEP), 2013 State Assessment. |
||
NAEP Technical Documentation Website
NAEP Technical Documentation Ineligible Sampled Schools by Ineligibility Type for the 2013 State Assessment
The following table shows the unweighted counts and percentages of NAEP 2013 state assessment fourth- and eighth-grade schools that were eligible and ineligible, by reason for ineligibility.
School eligibility status, state assessment, by grade and eligibility status: 2013
Eligibility status |
Grade 4 |
Grade 8 |
||
Unweighted count of schools |
Unweighted percentage |
Unweighted count of schools |
Unweighted percentage |
|
All sampled public schools |
8,350 |
100.00 |
6,970 |
100.00 |
Eligible |
7,860 |
94.13 |
6,400 |
92.40 |
No eligible students in grade |
56 |
0.67 |
48 |
0.69 |
Does not have sampled grade |
109 |
1.31 |
144 |
2.07 |
School closed |
259 |
3.10 |
186 |
2.67 |
Not a regular school |
55 |
0.66 |
116 |
1.66 |
Other ineligible school |
16 |
0.19 |
33 |
0.47 |
Duplicate on sampling frame |
1 |
0.01 |
2 |
0.03 |
NOTE: Numbers of schools are rounded to nearest ten, except those pertaining to ineligible schools. Detail may not sum to totals because of rounding. Percentages are based on rounded counts. SOURCE: U.S. Department of Education, Institute of Education Sciences, National Center for Education Statistics, National Assessment of Educational Progress (NAEP), 2013 State Assessment. |
||||
The following table shows the unweighted counts and percentages of NAEP 2013 state assessment twelfth-grade schools that were eligible and ineligible, by reason for ineligibility.
School eligibility status, grade 12 state assessment, by eligibility status: 2013
Eligibility status |
Unweighted count of schools |
Unweighted percentage |
Total1 |
1,460 |
100.00 |
Eligible |
1,390 |
95.21 |
No eligible students in grade |
7 |
0.48 |
Does not have sampled grade |
9 |
0.62 |
School closed |
19 |
1.30 |
Not a regular school |
22 |
1.51 |
Other ineligible school |
13 |
0.89 |
Duplicate on sampling frame |
0 |
0.00 |
1The aggregate of the 13 states participating in the state assessments at grade 12. NOTE: Numbers of schools are rounded to nearest ten, except those pertaining to ineligible schools. Detail may not sum to totals because of rounding. Percentages are based on rounded counts. SOURCE: U.S. Department of Education, Institute of Education Sciences, National Center for Education Statistics, National Assessment of Educational Progress (NAEP), 2013 State Assessment. |
||
NAEP Technical Documentation Website
NAEP Technical Documentation Student Sample Selection for the 2013 State Assessment
Within each sampled school, a sample of students was selected from a listing of the students in the sampled grade such that every student had an equal chance of selection. The student lists were submitted either electronically using a system known as E-filing or on paper. In E-
filing, student lists are submitted in Excel files by either school coordinators or NAEP State Coordinators. The files can be submitted for one school at a time (known as single school E-file submission) or for an entire jurisdiction at once (known as multiple school E-file submission). E- filing allows schools to easily submit student demographic data electronically with the student lists, easing the burden on NAEP field supervisors and school coordinators. Schools that are unable to submit their student lists using the E-filing system provide hardcopy lists via the student listing form to NAEP field supervisors. In 2013, there were 16,898 schools that E-filed their student lists, while 548 lists were submitted using the student listing form.
In year-round, multi-track schools, students who were not scheduled to be in school on the assessment day were removed from the student lists prior to sampling. Student base weights were adjusted to account for these students.
The sampling process was the same, regardless of list submission type. The sampling process was systematic(e.g., if the sampling rate was one-half, a random starting point of one or two was chosen, and every other student on the list was selected). For E-filed schools only, where demographic data was submitted for every student on the frame, students were sorted by gender and race/ethnicity before the sample was selected to implicitly stratify the sample.
In the certainty jurisdictions, all students were sampled in all schools. Otherwise, the sample size for grades 4 and 8 was 63 students (with the exception of 50 students in Puerto Rico), and the sample size for grade 12 was 60 students. Larger schools may have been selected with certainty in the sampling process and thus may have a larger sample size. In addition, most fourth-grade schools chose the option of taking all students when enrollment was less than 90 students. This increased the fourth-grade sample size in many states beyond the designated target.
Some students enrolled in the school after the sample was selected. In such cases, new enrollees were sampled at the same rate as the students on the original list.
In fourth- and eighth-grade schools, sampled students were randomly assigned to mathematics, reading, and pilot as follows: 30 students for mathematics, 30 students for reading, and 3 students for pilot. However, for schools in Puerto Rico, only the special mathematics assessment was conducted. In twelfth-grade schools, sampled students were randomly assigned to mathematics and reading as follows: 30 students for mathematics and 30 students for reading. This was implemented by spiraling: the booklets assigned to sampled students were provided from booklet packets that had, on average, the correct ratio of each of the relevant assessments in a randomized order.
Some of the students who were English language learners (ELL) or students with disabilities
(SD) were excluded from the assessment because they could not be assessed with the accommodations NAEP provides.
NAEP Technical Documentation Website
NAEP Technical Documentation School and Student Participation in the 2013 State Assessment
In all cases in the 2013 state assessment for grades 4 and 8, the weighted response rates for schools in each jurisdiction exceeded the 85 percent standard established by the National Center for Education Statistics (NCES). As participation is effectively mandatory, substitute schools for nonresponding schools were not provided. Participation was not mandatory at grade 12, and substitute schools were used.
In every NAEP survey, some of the sampled students are not assessed for the following reasons:
withdrawn
students;
excluded
students with disabilities (SD);
excluded
English language learner
(ELL)
students; or
Weighted Response Rates of Fourth-Grade School Sample by Participating Jurisdiction
Weighted
Response Rates of Eighth-Grade School Sample by Participating
Jurisdiction
Weighted Response Rates of Twelfth-Grade School Sample by Participating State
Weighted Student Response and Exclusion Rates, Mathematics Assessment
Weighted Student Response and Exclusion Rates, Reading Assessment
students
absent from both the original session and the make-up session (not
excluded but not assessed).
Withdrawn students are those who have left the school before the original assessment. Excluded students were determined by their school to be unable to meaningfully take the NAEP assessment in their assigned subject, even with an accommodation. Excluded students must also be classified as SD and/or ELL. Other students who were absent for the initial session are assessed in the makeup session. The last category includes students who were not excluded (i.e., “were to be assessed”) but were not assessed either due to absence from both sessions or because of a refusal to participate. Assessed students are also classified as assessed without an accommodation or assessed with an accommodation. The latter group can be divided into SD students assessed with an accommodation, ELL students assessed with an accommodation, or students who are both SD and ELL and accommodated. Note that some SD and ELL students are assessed without accommodations, and students who are neither SD nor ELL can only be assessed without an accommodation.
The weighted response rates utilize the student base weights and indicate the weighted percentage of assessed students among all students to be assessed. The exclusion rates, in contrast, provide the weighted percentage of excluded SD or ELL students among all absent, assessed, and excluded students.
NAEP Technical Documentation Website
NAEP Technical Documentation Weighted Response Rates of Fourth-Grade School Sample by Participating Jurisdiction for the 2013 State Assessment
The following table presents unweighted counts and weighted response rates at grade 4 for sampled eligible and participating schools. States with Trial Urban District Assessment (TUDA) districts are shown in multiple rows: for the TUDA district(s) and for the state as a whole (the TUDA district[s] plus the rest of the state). The weighted school response rates estimate the proportion of the student population that is represented by the participating school sample prior to substitution.
Participation is effectively mandatory for all states and districts, but not for Bureau of Indian Education (BIE) or Department of Defense Education Activity (DoDEA) schools.
School counts and response rates of sampled eligible schools, grade 4 state assessment, by jurisdiction: 2013
Jurisdiction |
Number of sampled eligible schools |
Number of participating schools |
Weighted school response rates (percent) |
Total |
7,860 |
7,830 |
99.67 |
Alabama |
110 |
110 |
100.00 |
Alaska |
180 |
170 |
99.48 |
Arizona |
120 |
120 |
100.00 |
Arkansas |
120 |
120 |
100.00 |
California–Fresno |
50 |
50 |
100.00 |
California–Los Angeles |
80 |
80 |
100.00 |
California–San Diego |
50 |
50 |
100.00 |
California |
290 |
290 |
99.17 |
Colorado |
120 |
120 |
100.00 |
Connecticut |
110 |
110 |
97.22 |
Delaware |
90 |
90 |
100.00 |
Florida–Hillsborough County |
60 |
60 |
100.00 |
Florida–Miami |
80 |
80 |
100.00 |
Florida |
220 |
220 |
100.00 |
Georgia–Atlanta |
50 |
50 |
100.00 |
Georgia |
150 |
150 |
100.00 |
Hawaii |
120 |
120 |
100.00 |
Idaho |
120 |
120 |
100.00 |
Illinois–Chicago |
90 |
90 |
100.00 |
Illinois |
180 |
180 |
97.98 |
Indiana |
110 |
110 |
100.00 |
Iowa |
130 |
130 |
100.00 |
Kansas |
140 |
140 |
100.00 |
Kentucky–Jefferson County |
50 |
50 |
100.00 |
Kentucky |
150 |
150 |
100.00 |
Louisiana |
110 |
110 |
100.00 |
Maine |
150 |
150 |
100.00 |
Maryland–Baltimore |
70 |
70 |
100.00 |
Maryland |
170 |
170 |
100.00 |
Massachusetts–Boston |
70 |
70 |
100.00 |
Massachusetts |
170 |
170 |
100.00 |
Michigan–Detroit |
50 |
50 |
100.00 |
Michigan |
150 |
150 |
100.00 |
Minnesota |
120 |
120 |
100.00 |
Mississippi |
110 |
110 |
100.00 |
Missouri |
130 |
130 |
100.00 |
Montana |
190 |
190 |
99.85 |
Nebraska |
160 |
160 |
100.00 |
Nevada |
120 |
120 |
100.00 |
New Hampshire |
130 |
130 |
100.00 |
New Jersey |
120 |
120 |
100.00 |
New Mexico–Albuquerque |
50 |
50 |
100.00 |
New Mexico |
150 |
150 |
99.69 |
New York–New York City |
80 |
80 |
100.00 |
New York |
160 |
150 |
98.84 |
North Carolina–Charlotte |
50 |
50 |
100.00 |
North Carolina |
160 |
160 |
100.00 |
North Dakota |
250 |
250 |
99.86 |
Ohio–Cleveland |
70 |
70 |
100.00 |
Ohio |
180 |
180 |
100.00 |
Oklahoma |
140 |
140 |
100.00 |
Oregon |
130 |
130 |
100.00 |
Pennsylvania–Philadelphia |
60 |
60 |
100.00 |
Pennsylvania |
160 |
160 |
100.00 |
Rhode Island |
120 |
120 |
100.00 |
South Carolina |
110 |
110 |
100.00 |
South Dakota |
180 |
180 |
100.00 |
Tennessee |
110 |
110 |
100.00 |
Texas–Austin |
50 |
50 |
100.00 |
Texas–Dallas |
50 |
50 |
100.00 |
Texas–Houston |
80 |
80 |
100.00 |
Texas |
290 |
290 |
100.00 |
Utah |
110 |
110 |
99.08 |
Vermont |
220 |
220 |
100.00 |
Virginia |
110 |
110 |
100.00 |
Washington |
120 |
120 |
99.09 |
West Virginia |
140 |
140 |
100.00 |
Wisconsin–Milwaukee |
60 |
60 |
100.00 |
Wisconsin |
180 |
180 |
100.00 |
Wyoming |
180 |
180 |
100.00 |
Other jurisdictions |
|||
Bureau of Indian Education (BIE) |
20 |
10 |
80.19 |
Department of Defense Education Activity (DoDEA) |
100 |
100 |
99.23 |
District of Columbia (TUDA) |
80 |
80 |
100.00 |
District of Columbia |
120 |
120 |
100.00 |
Puerto Rico |
150 |
150 |
100.00 |
NOTE: Numbers of schools are rounded to nearest ten. Detail may not sum to totals due to rounding. SOURCE: U.S. Department of Education, Institute of Education Sciences, National Center for Education Statistics, National Assessment of Educational Progress (NAEP), 2013 State Assessment. |
|||
NAEP Technical Documentation Website
NAEP Technical Documentation Weighted Response Rates of Eighth-Grade School Sample by Participating Jurisdiction for the 2013 State Assessment
The following table presents unweighted counts and weighted response rates at grade 8 for sampled eligible and participating schools. States with Trial Urban District Assessment (TUDA) districts are shown in multiple rows: for the TUDA district(s) and for the state as a whole (the TUDA district[s] plus the rest of the state). The weighted school response rates estimate the proportion of the student population that is represented by the participating school sample prior to substitution.
Participation is effectively mandatory for all states and districts, but not for Bureau of Indian Education (BIE) or Department of Defense Education Activity (DoDEA) schools.
School counts and response rates of sampled eligible schools, grade 8 state assessment, by jurisdiction: 2013
Jurisdiction |
Number of sampled eligible schools |
Number of participating schools |
Weighted school response rates (percent) |
Total |
6,440 |
6,420 |
99.47 |
Alabama |
100 |
100 |
100.00 |
Alaska |
120 |
120 |
99.91 |
Arizona |
110 |
110 |
99.03 |
Arkansas |
110 |
110 |
100.00 |
California–Fresno |
20 |
20 |
100.00 |
California–Los Angeles |
70 |
70 |
100.00 |
California–San Diego |
30 |
30 |
100.00 |
California |
230 |
230 |
100.00 |
Colorado |
110 |
110 |
100.00 |
Connecticut |
110 |
110 |
98.00 |
Delaware |
50 |
50 |
100.00 |
Florida–Hillsborourgh County |
50 |
50 |
100.00 |
Florida–Miami |
70 |
70 |
100.00 |
Florida |
200 |
200 |
100.00 |
Georgia–Atlanta |
20 |
20 |
100.00 |
Georgia |
120 |
120 |
100.00 |
Hawaii |
60 |
60 |
100.00 |
Idaho |
100 |
100 |
100.00 |
Illinois–Chicago |
90 |
90 |
100.00 |
Illinois |
180 |
180 |
100.00 |
Indiana |
100 |
100 |
97.06 |
Iowa |
110 |
110 |
100.00 |
Kansas |
120 |
120 |
100.00 |
Kentucky–Jefferson County |
30 |
30 |
100.00 |
Kentucky |
130 |
130 |
99.04 |
Louisiana |
120 |
120 |
100.00 |
Maine |
110 |
110 |
100.00 |
Maryland–Baltimore |
50 |
50 |
100.00 |
Maryland |
160 |
160 |
100.00 |
Massachusetts–Boston |
40 |
40 |
100.00 |
Massachusetts |
140 |
140 |
100.00 |
Michigan–Detroit |
40 |
40 |
100.00 |
Michigan |
150 |
150 |
100.00 |
Minnesota |
110 |
110 |
98.99 |
Mississippi |
110 |
110 |
100.00 |
Missouri |
120 |
120 |
100.00 |
Montana |
140 |
140 |
99.80 |
|
|
|
|
Nebraska |
120 |
120 |
100.00 |
Nevada |
90 |
90 |
100.00 |
New Hampshire |
90 |
90 |
100.00 |
New Jersey |
110 |
110 |
100.00 |
New Mexico–Albuquerque |
30 |
30 |
100.00 |
New Mexico |
120 |
120 |
99.68 |
New York–New York City |
80 |
80 |
99.00 |
New York |
160 |
150 |
93.08 |
North Carolina–Charlotte |
30 |
30 |
100.00 |
North Carolina |
130 |
130 |
100.00 |
North Dakota |
180 |
180 |
99.92 |
Ohio–Cleveland |
70 |
70 |
100.00 |
Ohio |
170 |
170 |
100.00 |
Oklahoma |
130 |
130 |
100.00 |
Oregon |
120 |
120 |
100.00 |
Pennsylvania–Philadelphia |
50 |
50 |
100.00 |
Pennsylvania |
150 |
150 |
100.00 |
Rhode Island |
60 |
60 |
100.00 |
South Carolina |
110 |
110 |
100.00 |
South Dakota |
140 |
140 |
100.00 |
Tennessee |
110 |
110 |
100.00 |
Texas–Austin |
20 |
20 |
100.00 |
Texas–Dallas |
40 |
40 |
100.00 |
Texas–Houston |
50 |
50 |
100.00 |
Texas |
210 |
210 |
100.00 |
Utah |
110 |
110 |
100.00 |
Vermont |
120 |
120 |
100.00 |
Virginia |
110 |
110 |
100.00 |
Washington |
110 |
110 |
100.00 |
West Virginia |
100 |
100 |
100.00 |
Wisconsin–Milwaukee |
50 |
50 |
100.00 |
Wisconsin |
150 |
150 |
100.00 |
Wyoming |
90 |
90 |
100.00 |
Other jurisdictions |
|||
Bureau of Indian Education (BIE) |
10 |
10 |
69.29 |
Department of Defense Education Activity (DoDEA) |
60 |
60 |
99.40 |
District of Columbia (TUDA) |
30 |
30 |
100.00 |
District of Columbia |
70 |
70 |
100.00 |
Puerto Rico |
120 |
120 |
100.00 |
NOTE: Numbers of schools are rounded to nearest ten. Detail may not sum to totals due to rounding. SOURCE: U.S. Department of Education, Institute of Education Sciences, National Center for Education Statistics, National Assessment of Educational Progress (NAEP), 2013 State Assessment. |
|||
NAEP Technical Documentation Website
NAEP Technical Documentation Weighted Response Rates of Twelfth-Grade School Sample by Participating State for the 2013 State Assessment
The following table presents unweighted counts and weighted response rates at grade 12 for sampled eligible and participating schools. The weighted school response rates estimate the proportion of the student population that is represented by the participating school sample prior to substitution.
School counts and response rates of sampled eligible schools, grade 12 state assessment, by jurisdiction: 2013
Jurisdiction |
Number of sampled eligible schools |
Number of participating schools |
Weighted school response rates (percent) |
Total 1 |
1,390 |
1,380 |
98.78 |
Arkansas |
100 |
100 |
100.00 |
Connecticut |
100 |
100 |
98.93 |
Florida |
110 |
100 |
99.05 |
Idaho |
90 |
90 |
100.00 |
Illinois |
120 |
110 |
90.38 |
Iowa |
120 |
120 |
100.00 |
Massachusetts |
110 |
110 |
99.04 |
Michigan |
130 |
130 |
100.00 |
New Hampshire |
80 |
80 |
100.00 |
New Jersey |
110 |
110 |
98.14 |
South Dakota |
130 |
130 |
99.74 |
Tennessee |
120 |
120 |
100.00 |
West Virginia |
90 |
90 |
100.00 |
1The aggregate of the 13 states participating in the state assessments at grade 12. NOTE: Numbers of schools are rounded to nearest ten. Detail may not sum to totals due to rounding. SOURCE: U.S. Department of Education, Institute of Education Sciences, National Center for Education Statistics, National Assessment of Educational Progress (NAEP), 2013 State Assessment. |
|||
NAEP Technical Documentation Website
NAEP Technical Documentation Weighted Student Response and Exclusion Rates for the 2013 State Mathematics Assessment
The following table presents the weighted student response and exclusion rates for the mathematics assessment. States with Trial Urban District Assessment (TUDA) districts are shown in multiple rows: for the TUDA district(s) and for the state as a whole (the TUDA district[s] plus the rest of the state). The weighted response rates utilize the student base weights and indicate the weighted percentage of assessed students as a percentage of all students to be assessed. The exclusion rates give the weighted percentage of excluded students, those with disabilities (SD) or students who were English language learners (ELL), among all absent, assessed, and excluded students.
Weighted student response and exclusion rates, state mathematics assessment, by grade and jurisdiction: 2013
Jurisdiction |
Grade 4 |
Grade 8 |
||||
Weighted student response rates (percent) |
Weighted percentage of all students who were SD and excluded |
Weighted percentage of all students who were ELL and excluded |
Weighted student response rates (percent) |
Weighted percentage of all students who were SD and excluded |
Weighted percentage of all students who were ELL and excluded |
|
Total |
94.49 |
1.25 |
0.46 |
93.02 |
1.28 |
0.40 |
Alabama |
94.82 |
1.03 |
0.10 |
94.23 |
0.91 |
0.13 |
Alaska |
93.18 |
0.98 |
0.22 |
91.72 |
1.01 |
0.23 |
Arizona |
95.07 |
0.88 |
0.34 |
93.42 |
0.98 |
0.32 |
Arkansas |
94.66 |
1.16 |
0.10 |
95.00 |
1.80 |
0.24 |
California–Fresno |
93.58 |
0.90 |
0.22 |
92.52 |
1.65 |
0.79 |
California–Los Angeles |
95.80 |
1.57 |
1.07 |
94.39 |
1.14 |
0.82 |
California–San Diego |
95.18 |
1.11 |
0.74 |
92.60 |
1.89 |
1.00 |
California |
94.79 |
1.54 |
1.20 |
93.59 |
1.20 |
0.70 |
Colorado |
92.34 |
1.04 |
0.35 |
93.47 |
1.05 |
0.23 |
Connecticut |
93.85 |
1.19 |
0.22 |
92.44 |
1.81 |
0.34 |
Delaware |
94.36 |
1.98 |
0.22 |
90.65 |
1.03 |
0.32 |
Florida– Hillsborough County |
95.74 |
1.11 |
0.10 |
93.78 |
1.35 |
0.13 |
Florida–Miami |
95.07 |
0.93 |
1.66 |
92.63 |
0.96 |
1.29 |
Florida |
94.11 |
1.25 |
0.76 |
91.06 |
1.14 |
0.64 |
Georgia–Atlanta |
95.42 |
0.80 |
0.19 |
91.57 |
0.72 |
0.00 |
Georgia |
94.18 |
1.34 |
0.15 |
93.38 |
1.30 |
0.25 |
Hawaii |
94.70 |
0.81 |
0.53 |
90.26 |
0.97 |
0.88 |
Idaho |
95.24 |
1.00 |
0.44 |
94.15 |
1.03 |
0.11 |
Illinois–Chicago |
94.85 |
0.71 |
0.58 |
94.80 |
0.77 |
0.65 |
Illinois |
94.40 |
0.72 |
0.39 |
94.48 |
0.79 |
0.25 |
Indiana |
95.18 |
1.31 |
0.21 |
92.49 |
1.58 |
0.05 |
Iowa |
95.16 |
0.53 |
0.20 |
93.74 |
0.73 |
0.04 |
Kansas |
94.79 |
1.43 |
0.31 |
93.94 |
1.57 |
0.10 |
Kentucky– Jefferson County |
94.66 |
1.03 |
0.71 |
93.37 |
1.60 |
0.22 |
Kentucky |
94.67 |
1.26 |
0.19 |
94.54 |
1.98 |
0.18 |
Louisiana |
94.49 |
0.97 |
0.12 |
94.14 |
1.03 |
0.03 |
Maine |
93.95 |
1.94 |
0.29 |
92.79 |
1.21 |
0.15 |
Maryland– Baltimore |
94.32 |
1.24 |
0.34 |
89.54 |
1.50 |
0.20 |
Maryland |
94.22 |
0.76 |
0.24 |
92.08 |
1.21 |
0.52 |
Massachusetts– Boston |
93.72 |
2.83 |
1.46 |
91.61 |
2.25 |
0.88 |
Massachusetts |
93.74 |
1.75 |
0.46 |
91.98 |
1.40 |
0.77 |
Michigan–Detroit |
90.92 |
4.33 |
0.83 |
91.58 |
4.29 |
0.00 |
Michigan |
94.14 |
1.58 |
0.44 |
92.93 |
1.96 |
0.58 |
Minnesota |
94.85 |
1.27 |
0.18 |
91.58 |
1.50 |
0.27 |
Mississippi |
95.44 |
0.67 |
0.10 |
93.80 |
0.77 |
0.03 |
Missouri |
95.42 |
1.32 |
0.09 |
94.25 |
1.24 |
0.03 |
Montana |
93.92 |
1.64 |
0.18 |
92.28 |
1.44 |
0.03 |
Nebraska |
95.37 |
1.50 |
0.25 |
93.41 |
1.59 |
0.26 |
Nevada |
95.75 |
1.14 |
0.40 |
92.80 |
0.75 |
0.30 |
New Hampshire |
93.74 |
1.14 |
0.08 |
91.60 |
0.99 |
0.07 |
New Jersey |
94.85 |
0.94 |
0.26 |
92.26 |
1.20 |
0.47 |
New Mexico– Albuquerque |
94.71 |
0.93 |
0.51 |
90.76 |
1.45 |
0.31 |
New Mexico |
95.06 |
1.07 |
0.42 |
93.07 |
1.52 |
0.32 |
New York–New York City |
91.74 |
0.44 |
1.12 |
91.78 |
0.99 |
1.05 |
New York |
92.27 |
0.88 |
0.51 |
91.15 |
1.59 |
0.43 |
North Carolina– Charlotte |
94.18 |
0.91 |
0.56 |
90.94 |
1.00 |
0.39 |
North Carolina |
94.19 |
1.12 |
0.31 |
92.95 |
1.02 |
0.28 |
North Dakota |
95.57 |
2.39 |
0.22 |
94.98 |
2.71 |
0.33 |
Ohio–Cleveland |
93.62 |
3.70 |
0.73 |
91.57 |
2.15 |
0.54 |
Ohio |
94.29 |
1.20 |
0.13 |
93.07 |
1.47 |
0.05 |
Oklahoma |
94.35 |
1.77 |
0.17 |
92.97 |
1.41 |
0.30 |
Oregon |
94.18 |
1.95 |
0.51 |
92.91 |
1.38 |
0.12 |
Pennsylvania– Philadelphia |
94.71 |
2.84 |
0.95 |
92.67 |
2.79 |
1.02 |
Pennsylvania |
94.30 |
1.43 |
0.28 |
92.17 |
1.40 |
0.30 |
Rhode Island |
94.98 |
0.95 |
0.21 |
93.93 |
0.72 |
0.39 |
South Carolina |
96.08 |
1.02 |
0.10 |
94.19 |
1.17 |
0.18 |
South Dakota |
95.36 |
1.42 |
0.09 |
94.44 |
1.17 |
0.25 |
Tennessee |
94.21 |
1.08 |
0.37 |
92.81 |
1.62 |
0.22 |
Texas–Austin |
93.69 |
1.57 |
0.78 |
90.97 |
1.60 |
0.51 |
Texas–Dallas |
95.79 |
1.93 |
0.84 |
93.81 |
1.97 |
1.11 |
Texas–Houston |
96.62 |
1.22 |
1.03 |
92.37 |
1.74 |
0.77 |
Texas |
95.36 |
1.34 |
0.62 |
93.82 |
1.32 |
0.80 |
Utah |
94.79 |
1.08 |
0.43 |
92.07 |
1.32 |
0.30 |
Vermont |
95.04 |
1.26 |
0.14 |
93.91 |
0.70 |
0.19 |
Virginia |
94.35 |
1.23 |
0.38 |
93.39 |
0.76 |
0.29 |
Washington |
93.50 |
2.00 |
0.36 |
90.87 |
1.70 |
0.42 |
West Virginia |
94.77 |
1.65 |
0.09 |
92.62 |
1.69 |
0.00 |
Wisconsin– Milwaukee |
94.68 |
3.07 |
0.60 |
91.60 |
3.56 |
0.93 |
Wisconsin |
95.42 |
1.64 |
0.31 |
94.25 |
1.43 |
0.19 |
Wyoming |
94.65 |
0.89 |
0.18 |
93.66 |
1.43 |
0.07 |
|
|
|
|
|
|
|
Other jurisdictions |
||||||
Bureau of Indian Education (BIE) |
93.34 |
1.42 |
0.00 |
92.02 |
3.28 |
0.00 |
Department of Defense Education Activity (DoDEA) |
95.05 |
1.17 |
0.74 |
94.47 |
0.82 |
0.49 |
District of Columbia (TUDA) |
95.52 |
1.27 |
0.85 |
90.15 |
0.75 |
1.23 |
District of Columbia |
95.09 |
0.86 |
0.62 |
91.26 |
0.41 |
0.71 |
Puerto Rico 1 |
94.47 |
0.00 |
0.24 |
92.75 |
0.01 |
0.02 |
1 In Puerto Rico, a special mathematics assessment was conducted instead of the operational mathematics assessment. SOURCE: U.S. Department of Education, Institute of Education Sciences, National Center for Education Statistics, National Assessment of Educational Progress (NAEP), 2013 State Mathematics Assessment. |
||||||
Similarly, the following table presents the weighted student response and exclusion rates for the twelfth-grade mathematics assessment.
Weighted student response and exclusion rates, grade 12 state mathematics assessment, by jurisdiction: 2013
Jurisdiction |
Weighted student response rates (percent) |
Weighted percentage of all students who were SD and excluded |
Weighted percentage of all students who were ELL and excluded |
Arkansas |
92.09 |
2.78 |
0.30 |
Connecticut |
81.22 |
1.62 |
0.18 |
Florida |
77.25 |
3.01 |
0.29 |
Idaho |
89.17 |
1.61 |
0.04 |
Illinois |
85.16 |
1.82 |
0.14 |
Iowa |
83.05 |
1.13 |
0.00 |
Massachusetts |
81.71 |
2.12 |
0.46 |
Michigan |
86.94 |
1.84 |
0.10 |
New Hampshire |
76.64 |
1.58 |
0.02 |
New Jersey |
84.10 |
1.56 |
0.33 |
South Dakota |
87.48 |
1.45 |
0.06 |
Tennessee |
88.15 |
2.45 |
0.15 |
West Virginia |
83.68 |
2.00 |
0.00 |
SOURCE: U.S. Department of Education, Institute of Education Sciences, National Center for Education Statistics, National Assessment of Educational Progress (NAEP), 2013 State Mathematics Assessment. |
|||
NAEP Technical Documentation Website
NAEP Technical Documentation Weighted Student Response and Exclusion Rates for the 2013 State Reading Assessment
The following table presents the weighted student response and exclusion rates for the reading assessment. States with Trial Urban District Assessment (TUDA) districts are shown in multiple rows: for the TUDA district(s) and for the state as a whole (the TUDA district[s] plus the rest of the state). The weighted response rates utilize the student base weights and indicate the weighted percentage of assessed students as a percentage of all students to be assessed. The exclusion rates give the weighted percentage of excluded students, those with disabilities (SD) or students who were English language learners (ELL), among all absent, assessed, and excluded students.
Weighted student response and exclusion rates, state reading assessment, by grade and jurisdiction: 2013
Jurisdiction |
Grade 4 |
Grade 8 |
||||
Weighted student response rates (percent) |
Weighted percentage of all students who were SD and excluded |
Weighted percentage of all students who were ELL and excluded |
Weighted student response rates (percent) |
Weighted percentage of all students who were SD and excluded |
Weighted percentage of all students who were ELL and excluded |
|
Total |
94.70 |
2.14 |
0.90 |
92.93 |
1.94 |
0.57 |
Alabama |
95.49 |
1.02 |
0.11 |
94.26 |
0.99 |
0.18 |
Alaska |
93.65 |
1.22 |
0.45 |
91.91 |
1.03 |
0.48 |
Arizona |
95.46 |
0.77 |
0.31 |
93.67 |
1.21 |
0.26 |
Arkansas |
95.16 |
0.96 |
0.15 |
93.21 |
1.82 |
0.27 |
California–Fresno |
94.94 |
2.19 |
1.26 |
93.27 |
3.10 |
1.15 |
California–Los Angeles |
94.63 |
1.78 |
1.08 |
94.30 |
2.19 |
1.38 |
California–San Diego |
94.74 |
2.02 |
1.02 |
93.78 |
2.19 |
1.08 |
California |
94.88 |
2.26 |
1.29 |
93.42 |
2.09 |
1.17 |
Colorado |
93.66 |
1.22 |
0.45 |
93.46 |
0.97 |
0.31 |
Connecticut |
94.29 |
1.09 |
0.63 |
91.38 |
1.76 |
0.52 |
Delaware |
94.34 |
4.17 |
0.99 |
91.59 |
2.92 |
0.71 |
Florida– Hillsborough County |
94.92 |
0.64 |
0.43 |
91.85 |
1.34 |
1.02 |
Florida–Miami |
95.37 |
1.57 |
3.42 |
94.21 |
0.73 |
2.15 |
Florida |
93.98 |
2.08 |
1.10 |
91.72 |
1.28 |
0.68 |
Georgia–Atlanta |
95.96 |
0.99 |
0.13 |
92.20 |
1.02 |
0.00 |
Georgia |
95.34 |
4.02 |
0.98 |
93.67 |
3.66 |
0.21 |
Hawaii |
93.97 |
1.33 |
0.79 |
90.58 |
1.22 |
0.90 |
Idaho |
94.99 |
1.35 |
0.21 |
93.64 |
1.41 |
0.27 |
Illinois–Chicago |
94.58 |
1.01 |
0.95 |
94.72 |
0.87 |
0.98 |
Illinois |
95.13 |
0.96 |
0.41 |
93.76 |
1.16 |
0.39 |
Indiana |
94.40 |
1.97 |
0.71 |
93.12 |
1.75 |
0.15 |
|
|
|
|
|
|
|
Iowa |
95.11 |
0.85 |
0.23 |
93.44 |
1.09 |
0.22 |
Kansas |
95.07 |
1.60 |
0.31 |
93.42 |
1.53 |
0.19 |
Kentucky– Jefferson County |
95.03 |
3.97 |
1.71 |
94.71 |
3.84 |
0.75 |
Kentucky |
94.97 |
2.53 |
0.66 |
93.93 |
3.06 |
0.29 |
Louisiana |
94.73 |
1.04 |
0.12 |
93.78 |
1.05 |
0.19 |
Maine |
93.65 |
1.60 |
0.13 |
92.34 |
1.30 |
0.28 |
Maryland– Baltimore |
93.62 |
13.70 |
2.37 |
89.73 |
15.33 |
1.14 |
Maryland |
94.40 |
8.97 |
5.04 |
93.77 |
7.85 |
1.86 |
Massachusetts– Boston |
94.03 |
3.08 |
1.83 |
93.05 |
2.09 |
1.95 |
Massachusetts |
93.77 |
2.05 |
0.85 |
91.82 |
1.35 |
1.04 |
Michigan–Detroit |
92.09 |
5.17 |
0.93 |
91.37 |
5.56 |
0.27 |
Michigan |
94.64 |
3.31 |
0.77 |
93.66 |
2.99 |
0.64 |
Minnesota |
94.93 |
2.26 |
0.59 |
91.30 |
2.10 |
0.27 |
Mississippi |
94.99 |
0.50 |
0.02 |
93.72 |
0.57 |
0.13 |
Missouri |
95.26 |
1.18 |
0.05 |
92.55 |
0.86 |
0.16 |
Montana |
94.40 |
2.63 |
0.38 |
91.61 |
2.26 |
0.15 |
Nebraska |
95.83 |
3.19 |
0.48 |
92.32 |
2.52 |
0.50 |
Nevada |
95.10 |
1.38 |
0.48 |
92.19 |
0.89 |
0.14 |
New Hampshire |
93.45 |
2.43 |
0.19 |
91.46 |
2.55 |
0.55 |
New Jersey |
94.87 |
1.43 |
0.32 |
92.01 |
2.22 |
0.42 |
New Mexico– Albuquerque |
93.43 |
0.68 |
0.11 |
93.46 |
1.20 |
1.19 |
New Mexico |
94.55 |
0.89 |
0.32 |
93.39 |
1.22 |
0.89 |
New York–New York City |
92.44 |
0.65 |
1.13 |
91.17 |
0.58 |
1.17 |
New York |
93.06 |
0.88 |
0.55 |
90.46 |
0.48 |
0.58 |
North Carolina– Charlotte |
94.49 |
0.58 |
0.38 |
92.20 |
1.06 |
0.99 |
North Carolina |
94.88 |
1.56 |
0.46 |
92.51 |
1.43 |
0.40 |
North Dakota |
96.28 |
3.81 |
0.46 |
94.07 |
4.00 |
0.37 |
Ohio–Cleveland |
94.08 |
4.10 |
0.73 |
91.90 |
2.74 |
1.01 |
Ohio |
94.58 |
2.43 |
0.21 |
93.08 |
2.08 |
0.14 |
Oklahoma |
94.58 |
1.56 |
0.34 |
93.43 |
1.26 |
0.16 |
Oregon |
93.98 |
2.32 |
0.95 |
92.62 |
1.36 |
0.24 |
Pennsylvania– Philadelphia |
94.61 |
2.92 |
1.10 |
91.35 |
2.87 |
1.00 |
Pennsylvania |
94.42 |
2.13 |
0.25 |
91.94 |
1.34 |
0.47 |
Rhode Island |
94.78 |
0.68 |
0.70 |
92.96 |
0.74 |
0.62 |
South Carolina |
94.64 |
1.57 |
0.22 |
94.03 |
1.75 |
0.16 |
South Dakota |
95.69 |
2.04 |
0.30 |
95.01 |
2.41 |
0.57 |
Tennessee |
95.34 |
2.61 |
0.66 |
93.54 |
3.03 |
0.20 |
Texas–Austin |
94.12 |
2.77 |
2.33 |
88.54 |
3.07 |
1.21 |
Texas–Dallas |
96.08 |
3.48 |
15.48 |
93.98 |
2.38 |
1.75 |
Texas–Houston |
96.63 |
2.82 |
4.69 |
93.58 |
2.89 |
1.60 |
Texas |
95.50 |
3.21 |
2.46 |
93.78 |
2.85 |
0.90 |
Utah |
93.71 |
2.72 |
0.92 |
93.00 |
2.69 |
0.69 |
Vermont |
95.05 |
1.07 |
0.10 |
92.93 |
0.59 |
0.37 |
Virginia |
94.93 |
1.10 |
0.58 |
92.97 |
1.04 |
0.36 |
Washington |
93.71 |
2.43 |
0.73 |
91.22 |
2.09 |
0.57 |
West Virginia |
93.62 |
1.67 |
0.11 |
93.10 |
1.79 |
0.03 |
|
|
|
|
|
|
|
Wisconsin– Milwaukee |
93.65 |
3.73 |
0.55 |
93.15 |
3.62 |
0.72 |
Wisconsin |
94.97 |
1.43 |
0.23 |
94.11 |
1.44 |
0.26 |
Wyoming |
94.38 |
1.11 |
0.29 |
93.15 |
1.05 |
0.12 |
Other jurisdictions |
||||||
Bureau of Indian Education (BIE) |
95.63 |
0.69 |
0.00 |
92.93 |
2.84 |
0.95 |
Department of Defense Education Activity (DoDEA) |
95.48 |
5.03 |
1.41 |
94.13 |
3.32 |
0.87 |
District of Columbia (TUDA) |
94.50 |
1.56 |
0.99 |
90.18 |
0.94 |
1.59 |
District of Columbia |
94.46 |
1.18 |
0.70 |
91.33 |
0.97 |
0.86 |
SOURCE: U.S. Department of Education, Institute of Education Sciences, National Center for Education Statistics, National Assessment of Educational Progress (NAEP), 2013 State Reading Assessment. |
||||||
Similarly, the following table presents the weighted student response and exclusion rates for the twelfth-grade reading assessment.
Weighted student response and exclusion rates, grade 12 state reading assessment, by jurisdiction: 2013
Jurisdiction |
Weighted student response rates (percent) |
Weighted percentage of all students who were SD and excluded |
Weighted percentage of all students who were ELL and excluded |
Arkansas |
90.21 |
2.49 |
0.20 |
Connecticut |
79.77 |
2.28 |
0.27 |
Florida |
77.34 |
2.97 |
0.70 |
Idaho |
88.68 |
1.55 |
0.17 |
Illinois |
83.72 |
2.23 |
0.20 |
Iowa |
84.26 |
1.41 |
0.13 |
Massachusetts |
79.84 |
1.65 |
0.43 |
Michigan |
87.21 |
3.96 |
0.14 |
New Hampshire |
76.91 |
2.15 |
0.44 |
New Jersey |
84.67 |
1.61 |
0.18 |
South Dakota |
86.17 |
1.60 |
0.06 |
Tennessee |
88.82 |
2.86 |
0.08 |
West Virginia |
84.28 |
2.37 |
0.00 |
SOURCE: U.S. Department of Education, Institute of Education Sciences, National Center for Education Statistics, National Assessment of Educational Progress (NAEP), 2013 State Reading Assessment. |
|||
NAEP Technical Documentation Website
NAEP Technical Documentation Sample Design for the 2013 National Assessment
The
2013 national assessment included mathematics and reading
assessments in public and
private schools at grades 4, 8, and
12.
The sample designs aimed to achieve nationally representative samples of students in the defined populations who were enrolled at the time of assessment.
The
samples were based on a two-stage sample design: selection of
schools within strata; and
selection
of students within schools.
Fourth- and Eighth-Grade Public School National Assessments
Twelfth-Grade Public School National Assessment
Private School National Assessment
The samples of schools were selected with probability proportional to a measure of size based on the estimated grade-specific enrollment in the schools.
For fourth- and eighth-grade public schools, the NAEP state student samples and assessments constitute the NAEP national student samples and assessments.
For the twelfth-grade public schools, the national sample consisted of 13 state samples and an additional sample that represented the remaining 37 states and the District of Columbia.
Nationally representative samples were also drawn for the private school students in grades 4, 8, and 12.
NAEP Technical Documentation Website
NAEP Technical Documentation 2013 Fourth- and Eighth-Grade Public School National Assessment
For the mathematics and reading assessments in fourth- and eighth-grade public schools, the national samples were the state assessment samples for each jurisdiction. All jurisdictions participated in the mathematics and reading assessments, with the exception of Puerto Rico, where a special mathematics assessment was conducted instead of the operational mathematics and reading assessments. Also, Bureau of Indian Education (BIE) was not designed as a reportable jurisdiction for the 2013 state assessments, but a nationally representative sample of students in BIE schools was selected.
NAEP Technical Documentation Website
NAEP Technical Documentation 2013 Twelfth-Grade Public School National Assessment
The twelfth-grade public school sample for the NAEP 2013 study was designed to achieve a nationally representative sample of twelfth-grade students enrolled in public schools in the United States. The sample was also designed to achieve state-level representative samples in 13 specific states. These states were Arkansas, Connecticut, Florida, Idaho, Illinois, Iowa, Massachusetts, Michigan, New Hampshire, New Jersey, South Dakota, Tennessee, and West Virginia.
The target sample size of assessed students for the twelfth- grade public school sample was 80,000 assessed
students:
4,600 students in each of the 13 state-assessment states
(approximately 60,000 students combined) and 20,000 students from
the the remaining 37 states, the District of Columbia, the Bureau of
Indian Education (BIE) schools,
and Department of Defense Education Activity
Target Population Sampling Frame Stratification of Schools School Sample Selection Substitute Schools Ineligible Schools Student Sample Selection
School
and Student Participation
(DoDEA) schools located within the 50 states and the District of Columbia. Prior to sampling, the target sample sizes were adjusted upward to offset expected school and student attrition due to nonresponse and ineligibility.
The twelfth-grade public school sample was based on a two-stage design that involved selection of schools within strata and selection of students within schools. The first-stage sample of schools was selected with probability proportional to a measure of size based on estimated grade 12 student enrollment in the schools.
The students in the twelfth-grade public school sample were assessed in mathematics and reading.
NAEP Technical Documentation Target Population for the 2013 Twelfth-Grade Public School National Assessment
The target population for the 2013 twelfth-grade public school national assessment included all students who were enrolled in twelfth-grade public schools in the 50 states and the District of Columbia. The sample included Bureau of Indian Education (BIE) schools and Department of Defense Education Activity (DoDEA) schools located within the 50 states and the District of Columbia.
As with the NAEP state sample, the sampling frame for public schools was derived from the Common Core of Data (CCD) file corresponding to the 2009-2010 school year. The CCD files provided the frame for all regular public, state-operated public, Bureau of Indian Education (BIE), and Department of Defense Education Activity (DoDEA) schools open during the 2009-2010 school year.
The
sampling frame excluded ungraded schools, vocational schools with no
enrollment, special education-only schools, prison and hospital
schools, home
Twelfth-Grade Schools and Enrollment in Public School Sampling Frame
New-School Sampling Frame for the National Assessment
school entities, virtual or online schools, adult and evening schools, and juvenile correctional institutions.
The following table presents the number of schools and estimated enrollment for the twelfth-grade Common Core of Data (CCD) frame by sampling stratum.
NAEP twelfth-grade Common Core of Data (CCD) frame public school enrollment and counts, national assessment, by sampling stratum: 2013
Sampling Stratum |
Schools |
Percent |
Estimated enrollment |
Percent |
Total |
23,433 |
100.00 |
3,476,820 |
100.00 |
Arkansas |
297 |
1.27 |
32,035 |
0.92 |
Connecticut |
245 |
1.05 |
41,607 |
1.20 |
Florida |
965 |
4.12 |
176,821 |
5.09 |
Idaho |
210 |
0.90 |
19,057 |
0.55 |
Illinois |
954 |
4.07 |
149,998 |
4.31 |
Iowa |
408 |
1.74 |
37,793 |
1.09 |
Massachusetts |
371 |
1.58 |
67,923 |
1.95 |
Michigan |
1,032 |
4.40 |
126,382 |
3.63 |
New Hampshire |
89 |
0.38 |
15,749 |
0.45 |
New Jersey |
432 |
1.84 |
97,690 |
2.81 |
South Dakota |
191 |
0.82 |
8,796 |
0.25 |
Tennessee |
369 |
1.57 |
67,111 |
1.93 |
West Virginia |
147 |
0.63 |
18,796 |
0.54 |
Remainder |
17,723 |
75.63 |
2,617,062 |
75.27 |
SOURCE: U.S. Department of Education, Institute of Education Sciences, National Center for Education Statistics, National Assessment of Educational Progress (NAEP), 2013 Assessment. |
||||
The Common Core of Data (CCD) file used for the CCD-based sampling frame corresponds to the 2009-2010 school year, whereas the assessment year is the 2012-2013 school year. During this 3-year period, some schools closed, some changed structure (one school becoming two schools, for example), and others came into existence.
To achieve as close to full coverage as possible, the CCD-based school sampling frame was supplemented by a sample of new schools obtained from a sample of districts. Each sampled district was sent a list of the CCD schools and asked to add in any new schools or old schools that had become newly eligible for grades 4, 8, or 12.
Since asking every school district to list new and newly-eligible schools would have generated too much of a burden, a sample of districts was contacted to obtain a list of new schools. To represent the unsampled districts in the full sample of schools, weights for schools included in the new-school sample were adjusted to reflect the district selection probability. This was done for fourth-, eighth-, and twelfth-grade schools in one step, and this step is described in the new-school frame.
The following table presents the number of schools and estimated enrollment for the twelfth-grade new school frame by sampling stratum.
NAEP twelfth-grade new school frame for the public school national assessment: school counts and estimated enrollment by sampling stratum: 2013
Sampling Stratum |
Schools |
Percent |
Estimated enrollment |
Percent |
Total |
398 |
100.00 |
21,953 |
100.00 |
Arkansas |
2 |
0.50 |
64 |
0.29 |
Connecticut |
0 |
0.00 |
0 |
0.00 |
Florida |
62 |
15.58 |
2,440 |
11.11 |
Idaho |
1 |
0.25 |
10 |
0.05 |
Illinois |
4 |
1.01 |
177 |
0.81 |
Iowa |
0 |
0.00 |
0 |
0.00 |
Massachusetts |
2 |
0.50 |
187 |
0.85 |
Michigan |
2 |
0.50 |
53 |
0.24 |
New Hampshire |
0 |
0.00 |
0 |
0.00 |
New Jersey |
4 |
1.01 |
135 |
0.61 |
South Dakota |
0 |
0.00 |
0 |
0.00 |
Tennessee |
3 |
0.75 |
199 |
0.91 |
West Virginia |
0 |
0.00 |
0 |
0.00 |
Remainder |
318 |
79.90 |
18,688 |
85.13 |
SOURCE: U.S. Department of Education, Institute of Education Sciences, National Center for Education Statistics, National Assessment of Educational Progress (NAEP), 2013 Assessment. |
||||
NAEP Technical Documentation Stratification of Schools for the 2013 Twelfth-Grade Public School National Assessment
Prior to sampling, the twelfth-grade public school frame was stratified to increase the efficiency and ensure the representativeness of the school sample in terms of important school-level characteristics, such as geography (e.g., states), urbanicity, and race/ethnicity composition. The school frame was stratified using two types of stratification, explicit and implicit.
Explicit stratification partitions the sampling frame into mutually exclusive groupings called sampling strata. The systematic samples selected from these strata are independent, meaning that each is selected with its own unique random start. The twelfth-grade public school sample had 14 sampling strata: one for each of the 13 states with state assessments and an additional stratum representing the remainder of the frame (schools in the remaining 37 states, District of Columbia, and all BIE and DoDEA schools).
Implicit stratification involves sorting the sampling frame, as opposed to grouping the frame. For NAEP, schools are sorted in serpentine fashion by key school characteristics within sampling strata and sampled systematically using this ordering. This type of stratification ensures the representativeness of the school samples with respect to the key school characteristics.
Schools in each state stratum were implicitly stratified by urbanicity classification, race/ethnicity classification, and median income, similarly to the grades 4 and 8 public school samples. (See stratification of schools of grades 4 and 8 public school samples for details.)
Schools
in the remainder stratum were implicitly stratified by: census
division;
urbanicity
classification; race/ethnicity
classification;
school
type (public, BIE, DoDEA); and median income.
The New England and Mid-Atlantic census divisions were collapsed into a single implicit stratum comprising the census region Northeast, as Connecticut, Massachusetts, New Hampshire, and New Jersey were all in the twelfth-grade public school state assessment. The remaining census divisions were not collapsed.
The urbanicity classification strata were derived from the NCES urban-centric locale variable from the Common Core of Data (CCD), which classifies schools based on location (city, suburb, town, rural) and proximity to urbanized areas. Urban-centric locale has 12 possible values.
The urbanicity classification cells were created by starting with the original 12 NCES urban-centric locale categories within each census division stratum. Any cell with an expected school sample size less than four was combined with a neighboring cell within the same census division stratum. Collapsing was first done among the subcategories within a location class. (For example, the subcategories for location class city are 1:large, 2:mid-size, and 3:small. If one of these subcategories was deficient then either 1:large was collapsed with 2:mid-size; 3:small collapsed with 2:mid-size; or 2:mid-size collapsed with the smaller of 1:large or 3:small.) If the collapsed cell was still too small, all three subcategories within a location class were combined.
If a collapsed location class still had an expected school sample size less than four, then it was collapsed with a neighboring collapsed location class. That is, 1:city would be collapsed with 2:suburb or 3:town would be collapsed with 4:rural. If additional collapsing was necessary all location classes were combined. No collapsing across census division strata was allowed or necessary.
The final result of this was a set of census division-urbanicity strata with all strata having expected school sample sizes of at least four schools.
Schools within the urbanicity classification strata were further stratified into race/ethnicity classification strata. The first division was a dichotomization of each urbanicity stratum into a low and a high Black/Hispanic stratum (the cutoff was 15 percent Black and Hispanic students). If the expected school sample size of resultant strata was less than or equal to 8.0, then this was the final urbanicity-race/ethnicity stratum. If the expected school sample size exceeded 8.0, a further division was made.
For the low Black/Hispanic stratum, there were only five urbanicity strata that had a large enough expected school sample size, and these were dichotomized by state. The table below describes the dichotomization.
Strata for low race/ethnicity strata with expected school sample sizes greater than 8: 2013
Census division stratum |
Urbanicity stratum |
Group 1 states |
Group 2 states |
East North Central division |
Rural Fringe |
Indiana, Wisconsin |
Ohio |
West North Central division |
Rural Distant |
Iowa, Kansas, Missouri, Nebraska |
North Dakota, South Dakota |
SOURCE: U.S. Department of Education, Institute of Education Sciences, National Center for Education Statistics, National Assessment of Educational Progress (NAEP), 2013 Assessment. |
|||
Within the high Black/Hispanic stratum, the number of substrata was based on the expected school sample size. If the expected sample size was between 8.0 and 12.0, there were two substrata; if the expected sample size was between 12.0 and 16.0, there were three substrata; and if the expected sample size was over 16.0, there were four substrata.
The substrata were defined by percent Black and Hispanic students, with the cutoffs for substrata defined by weighted percentiles (with the weight equal to expected hits for each school). For two substrata, the cutoff was the weighted median; for three substrata, the weighted 33rd and 67th percentiles; for four substrata, the weighted median and quartiles.
The implicit stratification within these census division-urbanicity-race/ethnicity status strata was based on school type (public, BIE, DoDEA) and median income of the ZIP code area containing the school.
NAEP Technical Documentation Website
NAEP Technical Documentation Sampling of Schools for the 2013 Twelfth-Grade Public School National Assessment
For the twelfth-grade public school assessment sample, schools were sampled independently from each sampling stratum with probability proportional to size using systematic sampling. Prior to sampling, schools in each sampling stratum
were
sorted by the appropriate implicit stratification variables in a
serpentine order. A school's measure of size was a complex function
of the school's estimated grade enrollment. As with the grades 4 and
8 public school state assessment samples, multiple hits were allowed
for each school in the
state-based
Computation of Measures of Size
School Sample Sizes: Frame and New School
sampling strata, but not in the remainder stratum containing the schools in the remaining states and District of Columbia.
The sampled schools for the twelfth-grade public school assessment came from two frames: the public school sample frame (as constructed from the Common Core of Data (CCD) and the new-school sampling frame.
For the CCD-based school frame, schools in the state-based sampling strata were sampled at a rate that would
yield 4,600 assessed students per stratum. Schools in the remainder stratum were sampled at a rate that would yield a national sample of 26,100 assessed students.
The schools in the new school frame were sampled at the same rate as the CCD-based school frame.
NAEP Technical Documentation Website
NAEP Technical Documentation Computation of Measures of Size for the 2013 Twelfth-Grade Public School National Assessment
In designing the twelfth-grade public school sample, six objectives underlie the process of determining the probability of selection for each school and the number of students to be sampled from each selected school:
to
meet the target student sample size for each explicit sampling
stratum;
to
select an equal-probability sample of students from each explicit
sampling stratum; to limit the number of students selected from any
one school;
to
ensure that the sample within a school does not include a very high
percentage of the students in the school, unless all students are
included;
to
reduce the rate of sampling of small schools, in recognition of the
greater cost and burden per student of conducting assessments in such
schools; and
to
increase the number of Black and Hispanic students in the sample.
The goal in determining the school's measure of size is to optimize across the middle four objectives in terms of maintaining the accuracy of estimates and the cost effectiveness of the sample design.
To increase the number of Black and Hispanic students in the sample, the measure of size for schools with relatively high proportions of Black and Hispanic students (15 percent or more) were doubled. This oversampling was limited to only the remainder stratum, (that is, the stratum comprising schools that are not in states with state assessments). The target student sample sizes for the state-based strata are large (4,600 assessed) and should yield a sufficient number of Black and Hispanic students.
For schools with high proportions of Black and Hispanic students in the remainder stratum, the preliminary measures of size (MOS) were calculated as follows:
where xjs is the estimated grade 12 student enrollment for school s in stratum j.
For all other schools (those in the state-based strata or with a low proportion of Black and Hispanic students in the remainder stratum), the preliminary measures of size (MOS) were calculated set as follows:.
where xjs is the estimated grade 12 student enrollment for school s in stratum j.
The preliminary school measure of size was rescaled to create an expected number of hits by applying a multiplicative constant bj, which varies by stratum j. The design for the twelfth grade school sample allowed multiple hits. For example, a school with two hits will have twice as many students sampled as a single-hit school. To limit respondent burden, constraints were placed on the number of hits allowed per school. For schools in the state-based sampling strata, the limit was three hits. For schools in the remainder stratum, it was one hit.
It follows that the final measure of size, Ejs, was defined as:
where uj is the maximum number of hits allowed.
In addition, new and newly-eligible schools were sampled from the new-school frame. The assigned measures of size for these schools,
,
used the bj and uj values from the CCD-based school frame for stratum j (i.e., the same sampling rate as for the CCD-based school sample within each stratum). The variable πdjs is the probability of selection of the district into the new-school district (d) sample.
In addition, an adjustment was made to the initial measures of size in an attempt to reduce school burden by minimizing the number of schools selected for both the High School Longitudinal Study (HSLS) and the grade 12 public school NAEP assessments. The NAEP sampling procedures used an adaptation of the Keyfitz process to compute conditional measures of size that, by design, minimized the overlap of schools selected for both the NAEP and HSLS assessments.
NAEP Technical Documentation Website
NAEP Technical Documentation School Sample Sizes: List Frame- Based and New School for the 2013 Twelfth-Grade Public School National Assessment
The following table presents the number of schools selected for the twelfth-grade public school sample by sampling frame (Common Core of Data (CCD) and new school ) and sampling stratum.
NAEP public school sample counts for grade 12 national assessment, by sampling stratum and sampling frame (CCD, new school): 2013
State |
Total school sample |
CCD-based school frame sample |
New-school frame sample |
Total |
2,030 |
2,020 |
10 |
Arkansas |
100 |
100 |
0 |
Connecticut |
110 |
110 |
0 |
Florida |
120 |
120 |
# |
Idaho |
100 |
100 |
0 |
Illinois |
130 |
130 |
0 |
Iowa |
120 |
120 |
0 |
Massachusetts |
110 |
110 |
# |
Michigan |
140 |
140 |
# |
New Hampshire |
80 |
80 |
0 |
New Jersey |
110 |
110 |
# |
South Dakota |
140 |
140 |
0 |
Tennessee |
130 |
130 |
0 |
West Virginia |
90 |
90 |
0 |
Remainder |
570 |
560 |
10 |
# Rounds to zero. NOTE: Numbers of schools are rounded to nearest ten. Detail may not sum to totals due to rounding. SOURCE: U.S. Department of Education, Institute of Education Sciences, National Center for Education Statistics, National Assessment of Educational Progress (NAEP), 2013 State Assessment. |
|||
Though efforts were made to secure the participation of all schools selected, it was anticipated that not all schools would choose to participate. NAEP uses school substitution to mitigate the effect of bias due to nonresponse. A nonparticipating sampled school is replaced by its substitute when the original school is considered a final refusal.
For the twelfth-grade public school sample, substitute schools were preselected for all sampled schools by sorting the school frame file according to a sort order very close to that used in sample selection (the implicit stratification). The two exceptions to this were as follows: (1) estimated grade enrollment replaces median income as the last sort variable, and (2) school type in the stratification hierarchy was crossed with state (rather than used alone) in the stratum comprising the remaining states and the District of Columbia. The first change guaranteed that the selected substitute would have a grade enrollment very close to that of the originally selected school. The second change guaranteed that any selected substitutes would be within the same state as the originally sampled nonresponding school.
The two candidates for substitutes were then the two nearest neighbors of the originally sampled school on this revised sort order. To be eligible as a potential substitute, the neighbor needed to be a nonsampled school (for any grade) and within the same sampling stratum. If both nearest neighbors were eligible to be substitutes, the one with a closer grade enrollment was chosen.
Nationally, 11 substitutes ultimately participated in the twelfth-grade public school sample.
of Schools for the 2013 Twelfth-Grade Public School National Assessment
The Common Core of Data (CCD) public school frame from which most of the sampled schools were drawn corresponds to the 2009-2010 school year, some three years prior to the assessment school year. During the intervening period, some of these schools either closed, no longer offered grade 12, or were ineligible for other reasons. In such cases, the sampled schools were considered to be ineligible.
The table below presents unweighted counts of ineligible schools and their eligibility, by status, for the twelfth-grade public school sample.
NAEP twelfth-grade sample public schools, national assessment, by eligibility status: 2013
Eligibility status |
Unweighted count of schools |
Unweighted percent |
Total |
2,030 |
100.00 |
Eligible |
1,940 |
95.57 |
Has sampled grade, but no eligible students |
7 |
0.34 |
Does not have sampled grade |
15 |
0.74 |
Closed |
22 |
1.08 |
Not a regular school |
37 |
1.82 |
Duplicate on sampling frame |
0 |
0.00 |
Other ineligible |
13 |
0.64 |
NOTE: Numbers of schools are rounded to nearest ten, except those pertaining to ineligible schools. Detail may not sum to totals due to rounding. Percentages are based on rounded counts. SOURCE: U.S. Department of Education, Institute of Education Sciences, National Center for Education Statistics, National Assessment of Educational Progress (NAEP), 2013 National Assessment. |
||
The target student sample size within the sampled schools for the twelfth-grade public sample was 60 students. However, schools with 66 or fewer students automatically had all students sampled.
There was only one spiral type for the twelfth-grade public school sample. In the spiral, 51.5 percent of the booklets were reading and 48.5 percent were mathematics.
The process of list submission, sampling students from year-round schools, sampling new enrollees, and determining student eligibility and exclusion status was the same as the process used for the NAEP state student sample.
Twelfth-grade public school participation in NAEP is not mandatory. Although a small portion of the participating school sample consisted of substitute schools, it is preferable when calculating school response rates to do so on the basis of school participation before substitution.
In every NAEP administration, some of the sampled students are not assessed for the following reasons:
withdrawn
students;
excluded
students with disabilities (SD);
excluded
English language learners (ELL);
or
Weighted School Response Rates
Weighted Student Response and Exclusion Rates for Mathematics
Weighted Student Response and Exclusion Rates for Reading
students
absent from both the original session and the make-up session (not
excluded but not assessed).
Withdrawn students are those who have left the school before the original assessment.
Excluded students were determined by their school to be unable to meaningfully take the NAEP assessment in their assigned subject, even with an accommodation. Excluded students must also be classified as SD and/or ELL. Other students who were absent for the initial session are assessed in the makeup session. The last category includes students who were not excluded (i.e., “were to be assessed”) but were not assessed either due to absence from both sessions or because of a refusal to participate. Assessed students are also classified as assessed without an accommodation or assessed with an accommodation. The latter group can be divided into SD students assessed with an accommodation, ELL students assessed with an accommodation, or students who are both SD and ELL and accommodated. Note that some SD and ELL students are assessed without accommodations, and students who are neither SD nor ELL can only be assessed without an accommodation.
The following table presents unweighted counts of eligible sampled schools and participating schools, as well as weighted school response rates, for the twelfth-grade public school samples in which the 2013 mathematics and reading assessments were conducted. The weighted school response rates estimate the proportion of the student population that is represented by the participating school sample prior to substitution.
School response counts and rates before substitution, twelfth-grade public schools, national assessment, by region: 2013
Region |
Number of sample eligible schools |
Number of participating schools |
Weighted school response rate prior to substitution (percent) |
National |
1,940 |
1,880 |
92.80 |
Northeast |
460 |
450 |
94.59 |
Midwest |
580 |
560 |
90.22 |
South |
620 |
600 |
91.65 |
West |
270 |
270 |
96.17 |
NOTE: Numbers of schools are rounded to nearest ten. Detail may not sum to totals due to rounding. SOURCE: U.S. Department of Education, Institute of Education Sciences, National Center for Education Statistics, National Assessment of Educational Progress (NAEP), 2013 National Assessment. |
|||
The following table presents the weighted student response and exclusion rates for the 2013 mathematics assessment for twelfth-grade public schools. The exclusion rates give the percentage excluded, among all eligible students. Excluded students must necessarily be either students with disabilities (SD) or English language learners (ELL). The response rates indicate the percentage of students assessed among those who it was intended would take the assessment within the participating schools. Thus, students who were excluded are not included in the denominators of the response rates.
Weighted student response and exclusion rates for twelfth-grade public schools, national mathematics assessment, by region: 2013
Region |
Weighted student response rates (percent) |
Weighted percentage of all students who were SD and excluded |
Weighted percentage of all students who were ELL and excluded |
National |
84.17 |
2.22 |
0.23 |
Northeast |
81.09 |
2.15 |
0.26 |
Midwest |
84.02 |
1.74 |
0.11 |
South |
86.34 |
2.45 |
0.10 |
West |
83.34 |
2.35 |
0.51 |
SOURCE: U.S. Department of Education, Institute of Education Sciences, National Center for Education Statistics, National Assessment of Educational Progress (NAEP), 2013 National Mathematics Assessment. |
|||
The following table presents the weighted student response and exclusion rates for the 2013 reading assessment for twelfth-grade public schools. The exclusion rates give the percentage excluded, among all eligible students. Excluded students must necessarily be either students with disabilities (SD) or English language learners (ELL). The response rates indicate the percentage of students assessed among those who it was intended would take the assessment within the participating schools. Thus, students who were excluded are not included in the denominators of the response rates.
Weighted student response and exclusion rates for twelfth-grade public schools, national reading assessment, by region: 2013
Region |
Weighted student response rates (percent) |
Weighted percentage of all students who were SD and excluded |
Weighted percentage of all students who were ELL and excluded |
National |
83.77 |
2.38 |
0.33 |
Northeast |
80.11 |
1.84 |
0.31 |
Midwest |
84.17 |
2.14 |
0.17 |
South |
85.50 |
2.91 |
0.27 |
West |
83.58 |
2.17 |
0.60 |
SOURCE: U.S. Department of Education, Institute of Education Sciences, National Center for Education Statistics, National Assessment of Educational Progress (NAEP), 2013 National Reading Assessment. |
|||
NAEP Technical Documentation Website
NAEP Technical Documentation2013 Private School National Assessment
The private school samples were designed
to produce nationally representative samples of students enrolled in private schools in the United States. Fourth-, eighth-, and twelfth-grade students were assessed in mathematics and reading.
Mathematics and reading pilots, a Knowledge and Skills Appropriate (KaSA) Study, and a Reading accessible booklet study were also conducted in the private school samples for fourth- and eighth-grade.
The target sample sizes of assessed students for each grade and subject are shown in the table below. Prior to sampling, these target sample sizes were adjusted upward to offset expected rates of school and student attrition due to nonresponse and ineligibility.
Target Population Sampling Frame Stratification of Schools School Sample Selection Substitute Schools Ineligible Schools Student Sample Selection
School
and Student Participation
Samples were based on a two-stage design that involved selection of schools within strata and selection of students within schools. The first-stage samples of
schools were selected with probability proportional to a measure of size based on the estimated grade-specific enrollment in the schools.
Target sample sizes of assessed students, private school national assessment, by subject and grade: 2013
Grade |
Total |
Mathematics |
Reading |
Pilot/Special Studies |
Total |
15,730 |
7,400 |
7,500 |
830 |
4 |
6,335 |
3,000 |
3,000 |
335 |
8 |
6,495 |
3,000 |
3,000 |
495 |
12 |
2,900 |
1,400 |
1,500 |
† |
† Not applicable. SOURCE: U.S. Department of Education, Institute of Education Sciences, National Center for Education Statistics, National Assessment of Educational Progress (NAEP), 2013 National Assessment. |
||||
NAEP Technical Documentation Target Population for the 2013 Private School National Assessment
The target population for the 2013 Private School National Assessment included all students enrolled in private schools in grades 4, 8, and 12 within the 50 states and the District of Columbia.
The frame of the private schools in all three grades was developed from the 2009-2010 Private School Universe Survey (PSS), a survey conducted by the U.S. Census Bureau for the National Center for Education Statistics (NCES). The PSS is a biennial mail survey of all private schools in the 50 states and the District of Columbia. The PSS frame of schools comprises both a list frame and an area frame. The 2009-2010 list frame is an assembly of the 2007-2008 PSS
Fourth-, Eighth-, and Twelfth-Grade Schools and Enrollment in the Private School Sampling Frame
New-School
Sampling Frame for the Private School Assessment
frame and more up-to-date lists from state education agencies, private school associations, and other easily accessible sources. To improve the coverage of the PSS list frame, the Census Bureau also conducted a survey to locate private schools in a random sample of geographic areas throughout the United States. The areas were single counties or groups of counties sampled from an area frame constructed from all counties in the nation. Within each selected area a complete list of private schools was gathered using information from the Yellow Pages, religious institutions, local education agencies, chambers of commerce, and local government offices. Schools not already on the list frame were identified and added to the frame of private schools. A weighting component was computed by the Census Bureau so that the additional area-frame schools would represent all schools absent from the list frame, not just those in the selected areas.
The sampling frame excluded schools that were ungraded, provided only special education, were part of hospital or treatment center programs, were juvenile correctional institutions, were home-school entities, or were for adult education.
Private school affiliation is unknown for nonrespondents to the PSS. Because NAEP response rates differ vastly by affiliation, to better estimate the target sample size of schools for each affiliation, additional work was done to obtain affiliation for nonrespondents to the PSS. If a nonresponding school responded to a previous PSS (either two or four years prior), affiliation was obtained from the previous response. For those schools that were nonrespondents for the last three cycles of the PSS, in some cases Internet research was used to establish affiliation. There were still schools with unknown affiliation remaining after this process.
For quality control purposes, school and student counts from the 2013 sampling frame were compared to school and student counts from previous NAEP frames (2011 and 2009). No major issues were found.
NAEP Technical Documentation Website
NAEP Technical Documentation Fourth-, Eighth-, and Twelfth-Grade Schools and Enrollment in the 2013 Private School Sampling Frame
The following table displays, by grade and affiliation, the number of private schools in the sampling frame and their estimated enrollment. For grades 4 and 8, enrollment was estimated for each school as the Private School Universe Survey (PSS)-reported enrollment averaged across grades 1 through 8. For grade 12, the average was computed over grades 9 through 12.
The counts presented below are of schools with known affiliation. Schools with unknown affiliation do not appear in the table because their grade span, affiliation, and enrollment were unknown. Although PSS is a school universe survey, participation is voluntary and not all private schools respond. Since the NAEP sample must represent all private schools, not just PSS respondents, a small sample of PSS nonrespondents with unknown affiliation was selected for each of the targeted grades to improve NAEP coverage.
Number of schools and enrollment in private school sampling frame, national assessment, by affiliation and grade: 2013
Grade |
Affiliation |
Number of schools |
Estimated enrollment |
4 |
Total |
19,553 |
354,543 |
Catholic |
5,669 |
156,505 |
|
Non-Catholic private |
13,884 |
198,038 |
|
8 |
Total |
17,607 |
342,303 |
Catholic |
5,214 |
156,583 |
|
Non-Catholic private |
12,393 |
185,720 |
|
12 |
Total |
9,138 |
317,449 |
Catholic |
1,295 |
150,454 |
|
Non-Catholic private |
7,843 |
166,995 |
|
SOURCE: U.S. Department of Education, Institute of Education Sciences, National Center for Education Statistics, National Assessment of Educational Progress (NAEP), 2013 National Assessment. |
|||
NAEP Technical Documentation Website
NAEP Technical Documentation New-School Sampling Frame for the 2013 Private School National Assessment
Whereas the Private School Universe Survey (PSS) file used for the frame corresponds to the 2009-2010 school year, the NAEP assessment year was the 2012-2013 school year. During this 3-year period, some schools closed, some changed their grade span, and still others came into existence.
To achieve as close to full coverage as possible, the private school frame was supplemented by a sample of new Catholic schools. The goal was to allow every such school a chance of selection, thereby fully covering the target population of Catholic schools in operation during the 2012-2013 school year. The first step in this process was the development of a new-school frame through the construction of a diocesan-level file from the PSS school-level file. To develop the frame, the diocesan-level file was divided into two files: one for small dioceses and the other for medium and large dioceses.
Small dioceses contained no more than three schools on the frame in total, with no more than one school at each grade (fourth, eighth, and twelfth). New schools in small dioceses were identified during school recruitment and added to the sample if the old school in the same diocese was sampled at the relevant grade. From a sampling perspective, the new school was viewed as an “annex” to the sampled school that had a well-defined probability of selection equal to that of the old school. The “frame” in this case was, in fact, the original frame; when the old school was sampled in a small diocese, the new school was automatically sampled as well.
To limit respondent burden and keep the level of effort within reasonable bounds, the new-school frame was created using information obtained from a sample of the remaining dioceses. The remaining dioceses were separated into two strata of large- and medium-size dioceses. These strata were defined by computing the percentage of the nation’s total Catholic school enrollment each diocese represents, sorting the dioceses in descending order by that percentage, and cumulating the percentages across the sorted file. All dioceses up to and including the first diocese at or above the 80th cumulative percentage were defined as large dioceses. The remaining dioceses were defined as medium dioceses.
A simplified example is given below. Dioceses are ordered by percentage enrollment. The first six become large dioceses and the last six become medium dioceses.
Example showing assignment of Catholic dioceses to the large and medium strata, private school national assessment: 2013
Diocese |
Percent enrollment |
Cumulative percentage enrollment |
Stratum |
Diocese 1 |
20 |
20 |
L |
Diocese 2 |
20 |
40 |
L |
Diocese 3 |
15 |
55 |
L |
Diocese 4 |
10 |
65 |
L |
Diocese 5 |
10 |
75 |
L |
Diocese 6 |
10 |
85 |
L |
Diocese 7 |
5 |
90 |
M |
Diocese 8 |
2 |
92 |
M |
Diocese 9 |
2 |
94 |
M |
Diocese 10 |
2 |
96 |
M |
Diocese 11 |
2 |
98 |
M |
Diocese 12 |
2 |
100 |
M |
SOURCE: U.S. Department of Education, Institute of Education Sciences, National Center for Education Statistics, National Assessment of Educational Progress (NAEP), 2013 National Assessment. |
|||
In actuality, there were 72 large and 102 medium dioceses in the sampling frame.
The target sample size was 10 dioceses total: 8 large and 2 medium. In the medium stratum, the dioceses were selected with equal probability. In the large stratum, dioceses were sampled with probability proportional to enrollment. These probabilities were retained and used in all later stages of sampling and weighting in order to represent all dioceses, whether or not they had been selected as new school samples for the assessment.
Each selected diocese was sent a listing of its schools extracted from the 2009-2010 PSS file and was asked to provide information about new schools and any changes to grade span in existing schools. This information provided by the selected dioceses was used to create sampling frames for the selection of new Catholic schools. The process of obtaining the information was conducted with the help of the National Catholic Educational Association (NCEA).
NCEA was sent the school lists for the 10 sampled dioceses and was responsible for returning the completed updates.
The eligibility of a new school at a particular grade was determined by its grade span. A school already on PSS also was classified as “new” if a change of grade span had occurred such that the school status changed from ineligible to eligible at a particular grade.
NAEP Technical Documentation Stratification of Schools for the 2013 Private School National Assessment
Explicit stratification for the NAEP 2013 private school samples was by private school type: Catholic, non- Catholic, and unknown affiliation. Private school affiliation was unknown for nonrespondents to the NCES Private School Universe Survey (PSS) for the past three cycles.
The implicit stratification of the schools involved four dimensions. Within each explicit stratum, the private schools were hierarchically sorted by census region, urbanicity status, race/ethnicity status, and estimated grade enrollment. The implicit stratification in this four-fold hierarchical stratification was achieved via a "serpentine sort".
Census region was used as the first level of implicit stratification for the NAEP 2013 private school sample. All four census regions were used as strata.
The next level of stratification was an urbanicity classification based on urban-centric locale, as specified on the PSS. Within a census region-based stratum, urban-centric locale cells that were too small were collapsed. The criterion for adequacy was that the cell had to have an expected school sample size of at least six.
The urbanicity variable was equal to the original urban-centric locale if no collapsing was necessary to cover an inadequate original cell. If collapsing was necessary, the scheme was to first collapse within the four major strata (city, suburbs, town, and rural). For example, if the expected number of large city schools sampled was less than six, large city was collapsed with midsize city. If the collapsed cell was still inadequate, they were further collapsed with small city. If a major stratum cell (all three cells collapsed together) was still deficient, it was collapsed with a neighboring major stratum cell. For example, city would be collapsed with suburbs.
The last stage of stratification was a division of the geographic/urbanicity strata into race/ethnicity strata if the expected number of schools sampled was large enough (i.e., at least equal to 12). This was done by deciding first on the number of race/ethnicity strata and then dividing the geography/urbanicity stratum into that many pieces. The school frame was sorted by the percentage of students in each school who were Black, Hispanic, or American Indian. The three racial/ethnic groups defining the race/ethnicity strata were those that have historically performed substantially lower on NAEP assessments than White students. The sorted list was then divided into pieces, with roughly an equal expected number of sampled schools in each piece.
Finally, schools were sorted within stratification cells by estimated grade enrollment.
The private school samples were selected with probability proportional to size using systematic sampling from a sorted list. A school's measure of size was a complex function of the school's estimated grade enrollment. For all
three grades, only one "hit" was allowed per school.
Schools were ordered within each school type using a serpentine sort involving the following variables:
census
region;
urbanicity
classification (based on urban-centric locale); race/ethnicity
status; and
estimated
grade enrollment.
Computation of Measures of Size
School
Sample Sizes: Frame and New School
A systematic sample was then drawn with probability proportional to size using this serpentine sorted list and the measures of size.
Schools with unknown affiliation were treated separately. A sample of about 30 schools with unknown affiliation was selected at each of the three grades.
NAEP Technical Documentation Website
NAEP Technical Documentation School Sample Sizes: List Frame-Based and New School for the 2013 Private School National Assessment
The following table presents the number of schools selected from the private school sampling frame (constructed from the Private School Universe Survey file) and the new-school sampling frame, for grades 4, 8, and 12, by school type.
NAEP private school national assessment frame-based and new school samples, by grade and school type: 2013
Grade and private school type |
Total school sample |
Frame school sample |
New school sample |
Grade 4 |
|||
All private |
410 |
410 |
# |
Catholic |
130 |
130 |
# |
Non-Catholic private |
250 |
250 |
0 |
Unknown affiliation |
30 |
30 |
0 |
Grade 8 |
|||
All private |
400 |
390 |
10 |
Catholic |
130 |
130 |
10 |
Non-Catholic private |
240 |
240 |
0 |
Unknown affiliation |
30 |
30 |
0 |
Grade 12 |
|||
All private |
160 |
160 |
# |
Catholic |
40 |
40 |
# |
Non-Catholic private |
100 |
100 |
0 |
Unknown affiliation |
25 |
30 |
0 |
# Rounds to zero. NOTE: Numbers of schools are rounded to nearest ten. Detail may not sum to totals due to rounding. SOURCE: U.S. Department of Education, Institute of Education Sciences, National Center for Education Statistics, National Assessment of Educational Progress (NAEP), 2013 National Assessment. |
|||
Substitutes were preselected for the private school samples by sorting the school frame file according to the actual order used in the sampling process (the implicit stratification). Each sampled school had its two nearest neighbors on the school frame file identified as potential substitutes. As the last sort ordering was by grade enrollment, the nearest neighbors had grade enrollment values very close to that of the sampled school.
Schools were disqualified as potential substitutes if they were already selected in the private school sample or assigned as a substitute for another private school (earlier in the sort ordering). Schools assigned as substitutes for twelfth-grade schools were disqualified as potential substitutes for fourth- and eighth-grade schools, and schools assigned as substitutes for eighth-grade schools were disqualified as potential substitutes for fourth-grade schools.
If both nearest neighbors were still eligible to be substitutes, the one with the closer grade enrollment was chosen. If both nearest neighbors had the same grade enrollment (an uncommon occurrence), one of the two was randomly selected.
In the process described above, only schools with the same affiliation were selected as substitutes.
The
Private School Universe Survey (PSS) school file, from which most of
the sampled schools were drawn, corresponds to the 2009-2010 school
year, 3 years prior to the assessment school year. During the
intervening period, some of these schools either closed, no longer
offered the grade of interest, or were ineligible for other reasons.
In such cases, the sampled schools were coded
as ineligible.
Eligibility Status of Sampled Schools by Grade and Private School Type
Ineligible Sampled Schools by Ineligibility Type
NAEP Technical Documentation Website
NAEP Technical Documentation Eligibility Status of Sampled Schools for the 2013 Private School National Assessment
The following table presents a breakdown by private school type of ineligible and eligible schools in the fourth-, eighth-, and twelfth-grade private school samples. There are considerable differences across private school types at grades 4, 8, and 12. Schools whose private school type was unknown at the time of sampling subsequently had their affiliation determined during data collection. Therefore, such schools are not broken out separately.
Eligibility status of sampled private schools, national assessment, by grade and private school type: 2013
Private school type |
Eligibility status |
Fourth grade |
Eighth grade |
Twelfth grade |
|||
Count |
Percentage |
Count |
Percentage |
Count |
Percentage |
||
All private |
Total |
410 |
100.00 |
400 |
100.00 |
160 |
100.00 |
Ineligible |
60 |
14.63 |
70 |
17.50 |
40 |
25.00 |
|
Eligible |
350 |
85.37 |
330 |
82.50 |
120 |
75.00 |
|
Roman Catholic |
Total |
130 |
100.00 |
130 |
100.00 |
40 |
100.00 |
Ineligible |
10 |
7.69 |
10 |
7.69 |
0 |
0.00 |
|
Eligible |
130 |
100.00 |
120 |
92.31 |
40 |
100.00 |
|
Other private |
Total |
280 |
100.00 |
270 |
100.00 |
120 |
100.00 |
Ineligible |
60 |
21.43 |
70 |
25.93 |
40 |
33.33 |
|
Eligible |
220 |
78.57 |
200 |
74.07 |
80 |
66.67 |
|
NOTE: Numbers of schools are rounded to nearest ten. Detail may not sum to totals due to rounding. Percentages are based on rounded counts. SOURCE: U.S. Department of Education, Institute of Education Sciences, National Center for Education Statistics, National Assessment of Educational Progress (NAEP), 2013 National Assessment. |
|||||||
NAEP Technical Documentation Sampled Schools for the 2013 Private School National Assessment
The table below presents unweighted counts of sampled schools, by grade and eligibility status, for the private school samples.
NAEP sample private schools, national assessment, by grade and eligibility status: 2013
Grade and eligibility status |
Unweighted count of schools |
Unweighted percentage |
All fourth-grade sampled private schools |
410 |
100.00 |
Eligible |
350 |
85.37 |
Has sampled grade, but no eligible students |
15 |
3.66 |
Does not have sampled grade |
11 |
2.68 |
Closed |
22 |
5.37 |
Not a regular school |
12 |
2.93 |
Duplicate on sampling frame |
0 |
0.00 |
Other ineligible |
2 |
0.49 |
All eighth-grade sampled private schools |
400 |
100.00 |
Eligible |
330 |
82.50 |
Has sampled grade, but no eligible students |
11 |
2.75 |
Does not have sampled grade |
19 |
4.75 |
Closed |
28 |
7.00 |
Not a regular school |
13 |
3.25 |
Duplicate on sampling frame |
0 |
0.00 |
Other ineligible |
2 |
0.50 |
All twelfth-grade sampled private schools |
160 |
100.00 |
Eligible |
120 |
75.00 |
Has sampled grade, but no eligible students |
4 |
2.50 |
Does not have sampled grade |
14 |
8.75 |
Closed |
7 |
4.38 |
Not a regular school |
12 |
7.50 |
Duplicate on sampling frame |
0 |
0.00 |
Other ineligible |
2 |
1.25 |
NOTE: Numbers of schools are rounded to nearest ten, except those pertaining to ineligible schools. Detail may not sum to totals due to rounding. Percentages are based on rounded counts. SOURCE: U.S. Department of Education, Institute of Education Sciences, National Center for Education Statistics, National Assessment of Educational Progress (NAEP), 2013 National Assessment. |
||
NAEP Technical Documentation Student Sample Selection for the 2013 Private School National Assessment
The target student sample size within sampled schools varied by grade. For fourth grade, the target was 64 students; and for eighth grade, the target was 65 students. However, schools with 72 or fewer students automatically had all students sampled. In addition, at grade 4 only, a school that had more than 72 students but fewer than 90 students could choose to have all students sampled. For schools sampled for the twelfth grade the target was 60 students. However, schools with 66 or fewer students had all students sampled.
There was only one spiral type for each grade. The percentage of booklets by subject within the spiral for each grade is given below.
Percentage of booklets, private school national assessment, by subject within the spiral and grade: 2013
Grade |
Mathematics |
Reading |
Pilot/Special |
4 |
45.49 |
46.19 |
8.33 |
8 |
44.94 |
45.00 |
10.06 |
12 |
48.51 |
51.49 |
† |
† Not applicable. SOURCE: U.S. Department of Education, Institute of Education Sciences, National Center for Education Statistics, National Assessment of Educational Progress (NAEP), 2013 National Assessment. |
|||
The process of student list submission, sampling students from year-round schools, sampling new enrollees, and determining student eligibility and exclusion status was the same as for the state NAEP student sample.
Private school participation in NAEP is not mandatory. The 2013 assessment holds true to the historic pattern of having higher rates of participation in Catholic schools than among non-Catholic schools. Although a portion of the participating school sample consisted of substitute schools, it is preferable to calculate school response rates on the basis of school participation before substitution.
In every NAEP survey, some of the sampled students are not assessed for the following reasons:
withdrawn
students;
excluded
students with disabilities (SD);
excluded
English language learners (ELL) students;
or
students
absent from both the original session and the makeup session (not
excluded but not assessed).
Weighted School Response Rates
Weighted
Student Response and Exclusion Rates for Mathematics
Weighted Student Response and Exclusion Rates for Reading
Withdrawn students are those who have left the school before the original assessment. Excluded students were determined by their school to be unable to meaningfully take the NAEP assessment in their assigned subject, even with an accommodation. Excluded students must also be classified as SD and/or ELL. Other students who were absent for the initial session are assessed in the makeup session. The last category includes students who were not excluded (i.e., “were to be assessed”) but were not assessed either due to absence from both sessions or because of a refusal to participate. Assessed students are also classified as assessed without an accommodation or assessed with an accommodation. The latter group can be divided into SD students assessed with an accommodation, ELL students assessed with an accommodation, or students who are both SD and ELL and accommodated. Note that some SD and ELL students are assessed without accommodations, and students who are neither SD nor ELL can only be assessed without an accommodation.
The weighted response rates utilize the student base weights and indicate the weighted percentage of assessed students among all students to be assessed. The exclusion rates, in contrast, provide the weighted percentage of excluded SD or ELL students among all absent, assessed, and excluded students.
The following table presents counts of eligible sampled schools and participating schools, as well as weighted school response rates, for the private school samples in which the mathematics and reading operational assessments were conducted. The weighted school response rates estimate the proportion of the student population that is represented by the participating school sample prior to substitution.
Private school response rates, national assessment, by school type and grade: 2013
Grade |
Private school type |
Eligible sampled schools |
Participating schools, including substitutes |
Weighted school response rate prior to substitution (percent) |
4 |
All private |
350 |
280 |
71.19 |
Catholic |
130 |
120 |
88.65 |
|
Non-Catholic private |
220 |
160 |
56.94 |
|
8 |
All private |
330 |
260 |
69.63 |
Catholic |
120 |
120 |
87.18 |
|
Non-Catholic private |
200 |
140 |
53.51 |
|
12 |
All private |
120 |
90 |
53.34 |
Catholic |
40 |
30 |
68.06 |
|
Non-Catholic private |
80 |
50 |
38.52 |
|
NOTE: Numbers of schools are rounded to nearest ten. Detail may not sum to totals due to rounding. SOURCE: U.S. Department of Education, Institute of Education Sciences, National Center for Education Statistics, National Assessment of Educational Progress (NAEP), 2013 National Assessment. |
||||
The following table presents the weighted student response and exclusion rates for the mathematics assessment. The exclusion rates give the percentage of students excluded among all eligible students. Excluded students must be either students with disabilities (SD) or English language learners (ELL). The response rates indicate the percentage of students assessed among those who were intended to take the assessment within the participating schools. Thus, students who were excluded are not included in the denominators of the response rates.
Weighted student response and exclusion rates for private schools, national mathematics assessment, by school type and grade: 2013
Grade |
Private school type |
Weighted student response rate |
Weighted percentage of all students who were SD and excluded |
Weighted percentage of all students who were ELL and excluded |
4 |
All private |
95.61 |
0.06 |
0.03 |
Catholic |
95.60 |
0.00 |
0.06 |
|
Non-Catholic private |
95.62 |
0.11 |
0.00 |
|
8 |
All private |
94.74 |
0.19 |
0.08 |
Catholic |
95.73 |
0.10 |
0.16 |
|
Non-Catholic private |
93.50 |
0.26 |
0.00 |
|
12 |
All private |
86.51 |
0.63 |
0.00 |
Catholic |
85.53 |
0.83 |
0.00 |
|
Non-Catholic private |
87.96 |
0.42 |
0.00 |
|
SOURCE: U.S. Department of Education, Institute of Education Sciences, National Center for Education Statistics, National Assessment of Educational Progress (NAEP), 2013 Mathematics Assessment. |
||||
The following table presents the weighted student response and exclusion rates for the reading assessment. The exclusion rates give the percentage of students excluded among all eligible students. Excluded students must be either students with disabilities (SD) or English language learners (ELL). The response rates indicate the percentage of students assessed among those who were intended to take the assessment within the participating schools. Thus, students who were excluded are not included in the denominators of the response rates.
Weighted student response and exclusion rates for private schools, national reading assessment, by school type and grade: 2013
Grade |
Private school type |
Weighted student response rate |
Weighted percentage of all students who were SD and excluded |
Weighted percentage of all students who were ELL and excluded |
4 |
All private |
95.85 |
0.46 |
0.07 |
Catholic |
95.75 |
0.17 |
0.06 |
|
Non-Catholic private |
95.96 |
0.71 |
0.08 |
|
8 |
All private |
95.45 |
0.18 |
0.12 |
Catholic |
96.07 |
0.21 |
0.00 |
|
Non-Catholic private |
94.67 |
0.16 |
0.23 |
|
12 |
All private |
85.52 |
0.78 |
0.05 |
Catholic |
84.67 |
0.81 |
0.10 |
|
Non-Catholic private |
86.75 |
0.75 |
0.00 |
|
SOURCE: U.S. Department of Education, Institute of Education Sciences, National Center for Education Statistics, National Assessment of Educational Progress (NAEP), 2013 Reading Assessment. |
||||
| File Type | application/vnd.openxmlformats-officedocument.wordprocessingml.document |
| Author | Molin, Ed C |
| File Modified | 0000-00-00 |
| File Created | 2021-08-27 |