Appendix 4 IRB Exemption Review

Appendix 4 IRB Exemption Review.doc

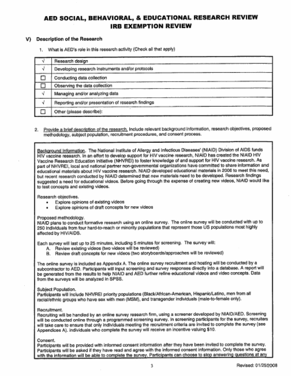
PRETESTING OF NIAID'S HIV VACCINE RESEARCH EDUCATION INITIATIVE COMMUNICATION MESSAGES

Appendix 4 IRB Exemption Review

OMB: 0925-0585

Document [doc]
Download: doc | pdf

Appendix 4: IRB Exemption Review


Appendix 4: IRB Exemption Review 7


File Typeapplication/msword
File TitleAppendix 5: Notification of Applicability of the Privacy Act
Authoraed-user
Last Modified ByBonny Bloodgood
File Modified2010-02-12
File Created2008-09-19

© 2025 OMB.report | Privacy Policy